精英家教网 > 高中物理 > 题目详情
“神舟五号”载人飞船升空后,在离地面高h的轨道上做匀速圆周运动,已知地球半径为R,地球表面处的重力加速度为g,宇航员站在飞船舱底静止不动时,求:
(1)宇航员对舱底的压力,简要说明理由;
(2)宇航员运动的加速度大小.
【答案】分析:(1)宇航员受引力提供向心力,处于完全失重状态;
(2)根据万有引力提供向心力列式,再根据地表重力等于万有引力列式,最后联立求解即可;
解答:解:(1)宇航员对舱底的压力为零,因为地球对宇航员的万有引力恰好提供了宇航员随飞船绕地球作匀速圆周运动所需的向心力,宇航员处于完全失重状态.
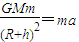
(2)由牛顿第二定律:…①
mg=…②
两式联立得:a=g
答:(1)宇航员对舱底的压力为零,理由如上;
(2)宇航员运动的加速度大小为g.
点评:本题关键根据万有引力提供向心力列式,同时结合地表重力加速度表达式列式后联立求解,基础题.
练习册系列答案
相关习题

科目:高中物理 来源: 题型:

2003年10月15日9时整.我国自行研制的“神舟五号”载人飞船顺利升空.飞船升空后,首先沿椭圆轨道运行.其近地点约为200km,远地点约为340km,绕地球飞行七圈后,地面发出指令,使飞船上的发动机在飞船到达远地点时自动点火,提高了飞船的速度,使得飞船在距地面340km的圆轨道上飞行.飞船在圆轨道上运行时.需要进行多次轨道维持.轨道维持就是通过控制飞船上的发动机的点火时间和推力,使飞船能保持在同一圆轨道上稳定运行.如果不进行轨道维持,飞船的轨道高度将逐渐降低,则(  )

查看答案和解析>>

科目:高中物理 来源: 题型:

2003年10月15日9时整,“神舟”五号载人飞船进入预定轨道,将中国第一名航天员送上太空,飞船绕地球14圈,即飞行21小时后,于16日6时23分在内蒙古阿木古郎草原安全着陆,由以上材料可知(  )

查看答案和解析>>

科目:高中物理 来源: 题型:

(2012?东城区模拟)2003年10月15日上午9时,我国在酒泉卫星发射中心成功发射“神舟五号”载人航天飞船.“神舟五号”飞船长8.86m,质量为7990kg.飞船达到预定的椭圆轨道后,运行的轨道倾角为200km,远地点高度350km.施行变轨后,进入离地约350km的圆轨道上运行,飞船运行14圈后,于16日凌晨在内蒙古成功着陆.
求:飞船在圆轨道上运行的速度和周期.(地球半径R0=6.40×106m,地球表面重力加速度g=l0m/s2,计算结果保留两位小数)

查看答案和解析>>

科目:高中物理 来源: 题型:

精英家教网2003年10月15日,我国成功地发射了“神舟五号”载人飞船,经过21小时的太空飞行,返回舱于次日安全着陆.已知飞船在太空中运行的轨道是一个椭圆,椭圆的一个焦点是地球的球心,如图所示,飞船在飞行中是无动力飞行,只受到地球的万有引力作用,在飞船的轨道的A点沿箭头方向运行到B点的过程中,有以下说法,上述说法中正确的是(  )
①飞船的速度逐渐增大    ②飞船的速度逐渐减小
③飞船的加速度逐渐减小  ④飞船的机械能逐渐增大.
A、①③B、①④C、②③D、②④

查看答案和解析>>

科目:高中物理 来源: 题型:

千年飞天梦,今朝终成真,2003年10月15日,我国发射了自行研制的“神舟”五号载人飞船,次日载人舱着陆,实验获得成功.载人舱在着落之前,由于空气阻力作用有一段匀速下落过程,若空气阻力与速度的平方成正比,比例系数为k,载人舱的质量为m,则此过程中载人舱的速度应为
 
;当在最后着落过程中,载人舱处于
 
状态(选填“超重”或“失重”).

查看答案和解析>>

同步练习册答案