精英家教网 > 高中物理 > 题目详情

如图所示,一根轻绳跨过定滑轮,两端分别系着质量为m1、m2的小物块,m1放在地面上,m2离地面有一定高度。当m2的质量发生变化时,m1上升的加速度a的大小也将随之变化。已知重力加速度为g,图中能正确反映a与m2关系的是(   )

 

 

【答案】

D

【解析】

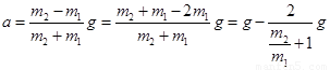
试题分析:当时,仍处于静止状态,没有加速度.当时,有向上的加速度,根据牛顿第二定律得:对分析可得,对分析可得,两式联立解得

,D正确;

考点:考查了牛顿第二定律的应用

 

练习册系列答案
相关习题

科目:高中物理 来源: 题型:

如图所示,一根不可伸长的轻绳两端各系一个小球a和b,轻绳长2L,跨在两根固定在同一高度的光滑水平细杆C和D上,两细杆C和D间距离为
L
3
,质量为ma的a球置于地面上,a球与杆C的距离为L,开始时细绳恰好拉直,现将质量为mb的b球从水平位置由静止释放.当b球摆到最低点时,a球对地面压力刚好为零,则b球摆到最低点时的速度大小为
2
gL
3
2
gL
3
,ab两小球的质量之比
ma
mb
=
3:1
3:1

查看答案和解析>>

科目:高中物理 来源: 题型:

如图所示,一根不可伸长的轻绳两端各系一个小球a和b,跨在两根固定在同一高度的光滑水平细杆C和D上,质量为ma的a球置于地面上,质量为mb的b球从水平位置静止释放.当b球摆过的角度为90°时,a球对地面压力刚好为零,下列结论正确的是(  )

查看答案和解析>>

科目:高中物理 来源: 题型:

如图所示,一根不可伸长的轻绳两端各系一个小球a和b,跨在两根固定在同一高度的光滑水平细杆C和D上,质量为ma的a球置于地面上,质量为mb的b球从水平位置由静止释放.当b球摆过的角度为90°时,a球对地面压力刚好减为零,下列结论正确的是(  )

查看答案和解析>>

科目:高中物理 来源: 题型:

如图所示,一根不可伸长的轻绳两端各系一个小球a和b,跨在两根固定在同一高度的光滑水平细杆C和D上,质量为ma的a球置于地面上,质量为mb的b球从水平位置静止释放.当b球摆过的角度为90°时,a球对地面压力刚好为零,下列结论正确的是(  )

查看答案和解析>>

科目:高中物理 来源: 题型:

精英家教网如图所示,一根不可伸长的轻绳两端各系一个小球a和b,跨在两根固定在离地高度为H的光滑水平细杆A、B上,质量为m的b球与B的距离为L,质量为4m的a球放置于地面上.把b球从水平位置由静止释放,求:
(1)a球对地面的最小压力为多大?
(2)已知细线能承受的最大拉力Fm=4mg,现给b球竖直向下的初速度,当b球运动到B点的正下方时细线恰被拉断,求b球落地点与B点的水平距离.

查看答案和解析>>

同步练习册答案