ÓÐÒ»Çã½ÇΪ¦ÈµÄÐ±Ãæ£¬Æäµ×¶Ë¹Ì¶¨Ò»µµ°å£¬ÁíÓÐÈý¸öľ¿éA¡¢B¡¢C£¬ËüÃǵÄÖÊÁ¿·Ö±ðΪmA=mB=m£¬mC=3m£¬ËüÃÇÓëÐ±Ãæ¼äµÄ¶¯Ä¦²ÁÒòÊý¶¼Ïàͬ¡£ÆäÖÐľ¿éAºÍÒ»Çᵯ»ÉÁ¬½Ó£¬·ÅÓÚÐ±ÃæÉÏ£¬²¢Í¨¹ýÇᵯ»ÉÓëµµ°åMÏàÁ¬£¬ÈçͼËùʾ¡£¿ªÊ¼Ê±£¬Ä¾¿éA¾²Ö¹ÔÚPµã£¬µ¯»É´¦ÓÚÔ­³¤£¬Ä¾¿éBÔÚQµãÒÔ³õËÙ¶Èv0ÑØÐ±ÃæÏòÏÂÔ˶¯£¬P¡¢Q¼äµÄ¾àÀëΪl£¬ÒÑ֪ľ¿éBÔÚÏ»¬¹ý³ÌÖÐ×öÔÈËÙÖ±ÏßÔ˶¯£¬Óëľ¿éAÅöײºóÁ¢¿ÌÒ»ÆðÑØÐ±ÃæÏòÏÂÔ˶¯£¬µ«²»Õ³Á¬£¬ËüÃǵ½´ïÒ»¸ö×îµÍµãºóÏòÉÏÔ˶¯£¬Ä¾¿éBÏòÉÏÔ˶¯Ç¡ºÃÄܻص½Qµã¡£ÏÖ½«Ä¾¿éC´ÓQµãÒÔ³õËÙ¶ÈÑØÐ±ÃæÏòÏÂÔ˶¯£¬Ä¾¿éAÈÔ¾²Ö¹ÓÚPµã£¬¾­ÀúͬÑùµÄ¹ý³Ì£¬×îºóľ¿éCÍ£ÔÚÐ±ÃæÉϵÄRµã£¨Í¼ÖÐδ»­³ö£©¡£Çó£º
£¨1£©A¡¢BÒ»Æð¿ªÊ¼Ñ¹Ëõµ¯»ÉʱËÙ¶Èv1£»
£¨2£©A¡¢BѹËõµ¯»ÉµÄ×î´ó³¤¶È£»
£¨3£©P¡¢R¼äµÄ¾àÀël'µÄ´óС¡£
½â£º£¨1£©Ä¾¿éBÏ»¬×öÔÈËÙÔ˶¯£¬ÓÐmgsin¦È=¦Ìmgcos¦È
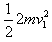
BºÍAÅöײºó£¬ÉèËÙ¶ÈΪv1£¬¸ù¾Ý¶¯Á¿Êغ㶨ÂɵÃmv0=2mv1
½âµÃv1=
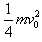
£¨2£©ÉèÁ½Ä¾¿éÏòÏÂѹËõµ¯»ÉµÄ×î´ó³¤¶ÈΪx£¬Á½Ä¾¿é±»µ¯»Éµ¯»Øµ½PµãʱµÄËÙ¶ÈΪv2£¬¸ù¾Ý¶¯Äܶ¨ÀíµÃ
Ò»¦Ì2mgcos¦È2x=2mvÒ»2mv
Á½Ä¾¿éÔÚPµã´¦·Ö¿ªºó£¬Ä¾¿éBÉÏ»¬µ½QµãµÄ¹ý³ÌÖУ¬¸ù¾Ý¶¯Äܶ¨ÀíµÃ
Ò»(mgsin¦È+¦Ìmgcos¦È)l=0Ò»mv
½âµÃx=Ò»l
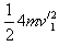
£¨3£©Ä¾¿éCÓëAÅöײǰºóËÙ¶ÈΪv1'£¬¸ù¾Ý¶¯Á¿Êغ㶨ÂɵÃ3m=4mv1'
½âµÃv1'=
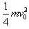
Éèľ¿éCºÍAѹËõµÄ×î´ó³¤¶ÈΪx'£¬Á½Ä¾¿é±»µ¯»Éµ¯»Øµ½PµãʱµÄËÙ¶ÈΪv2'£¬¸ù¾Ý¶¯Äܶ¨ÀíµÃ
Ò»¦Ì4mgcos¦È2x'=4mv'Ò»4mv'
ľ¿éCÓëAÔÚPµã´¦·Ö¿ªºó£¬Ä¾¿éCÉÏ»¬µ½RµÄ¹ý³ÌÖУ¬¸ù¾Ý¶¯Äܶ¨ÀíµÃ
Ò»(3mgsin¦È+¦Ì3mgcos¦È)l'=0Ò»3mv'
ÔÚľ¿éѹËõµ¯»ÉµÄ¹ý³ÌÖУ¬ÖØÁ¦¶Ôľ¿éËù×öµÄ¹¦ÓëĦ²ÁÁ¦¶Ôľ¿éËù×öµÄ¹¦´óСÏàµÈ£¬Òò´Ë£¬Ä¾¿éBºÍAѹËõµ¯»ÉµÄ³õ¶¯ÄÜEk1==
ľ¿éCÓëAѹËõµ¯»ÉµÄ³õ¶¯ÄÜEk2==
¼´Ek1=Ek2
Òò´Ë£¬µ¯»ÉÏȺóÁ½´ÎµÄ×î´óѹËõÁ¿ÏàµÈ£¬¼´x=x'£¬×ÛÉϿɵÃl'=lÒ»
Á·Ï°²áϵÁдð°¸
Ïà¹ØÏ°Ìâ

¿ÆÄ¿£º¸ßÖÐÎïÀí À´Ô´£º ÌâÐÍ£º

£¨2013?ºþ±±Ä£Ä⣩ÈçͼËùʾ£¬ÓÐÒ»Çã½ÇΪ¦È=37¡ãµÄÐ±ÃæAB¹Ì¶¨ÔÚË®Æ½ÃæMNÉÏ£®ÏÖÓÐÁ½¸ö¿ÉÊÓΪÖʵãµÄСÇòPºÍQ£¬Í¬Ê±Óɾ²Ö¹¿ªÊ¼ÊÍ·Å£¬Ð¡ÇòP´ÓÐ±Ãæ×î¸ßµãAµãÑØÐ±ÃæÔ˶¯µ½Ð±Ãæ×îµÍµãBµã£¬Ð¡ÇòPÓëÐ±Ãæ¼äµÄĦ²ÁÒòÊý¦Ì=
13
£¬Ð¡ÇòQ´ÓÐ±Ãæ¼°µãÕýÉÏ·½CµãÊÍ·Å£¬²»¼Æ¿ÕÆø×èÁ¦£¬ÎªÁËÈÃСÇòPÔ˶¯µ½bµãµÄʱ¿ÌQСÇòҲǡºÃÔ˶¯µ½Bµã£¬ÔòСÇòÊͷŵãCµãÀëBµãµÄÊúÖ±¸ß¶ÈÊÇСÇòPÊͷŵãAµãÀëBµãÊúÖ±ó{¶ÈµÄ¼¸±¶£¿

²é¿´´ð°¸ºÍ½âÎö>>

¿ÆÄ¿£º¸ßÖÐÎïÀí À´Ô´£º ÌâÐÍ£º

¾«Ó¢¼Ò½ÌÍøÈçͼËùʾ£¬Ä³Ò»Ð¡³µÖÐÓÐÒ»Çã½ÇΪ30¡ãµÄÐ±Ãæ£¬µ±Ð¡³µÑØË®Æ½·½ÏòÏò×ó¼ÓËÙÔ˶¯Ê±£¬Ð±ÃæÉϵÄÎïÌåmÓëС³µÊ¼ÖÕ±£³ÖÏà¶Ô¾²Ö¹£¬Çó£º
£¨1£©ÈôÎïÌåmËùÊܵÄĦ²ÁÁ¦ÎªÁ㣬ÔòС³µµÄ¼ÓËÙ¶ÈΪ¶à´ó£¿
£¨2£©ÈôС³µµÄ¼ÓËÙ¶È´óСµÈÓÚÖØÁ¦¼ÓËÙ¶Èg£¬ÇóÐ±Ãæ¶ÔÎïÌåµÄĦ²ÁÁ¦µÄ´óСºÍ·½Ïò£®

²é¿´´ð°¸ºÍ½âÎö>>

¿ÆÄ¿£º¸ßÖÐÎïÀí À´Ô´£ºÉ½¶«Ê¡Î«·»ÊÐÖØµãÖÐѧ2011Äêи߶þÊî¼Ù×÷Òµ(ËÄ)ÎïÀíÊÔÌâ ÌâÐÍ£º022

ÈçͼËùʾ£¬³µÏáÖÐÓÐÒ»Çã½ÇΪ30¡ãµÄÐ±Ãæ£¬µ±»ð³µÒÔ10 m/s2¼ÓËÙ¶ÈÑØË®Æ½·½ÏòÏò×óÔ˶¯Ê±£¬Ð±ÃæÉϵÄÎïÌåmÓë³µÏáÏà¶Ô¾²Ö¹£¬ÎïÌåmËùÊÜĦ²ÁÁ¦µÄ·½ÏòÊÇ________£®

²é¿´´ð°¸ºÍ½âÎö>>

¿ÆÄ¿£º¸ßÖÐÎïÀí À´Ô´£ºÍ¬²½Ìâ ÌâÐÍ£º¼ÆËãÌâ

Èçͼ³µÏáÖÐÓÐÒ»Çã½ÇΪ30¡ãµÄÐ±Ãæ£¬µ±»ð³µÒÔ10 m/s2µÄ¼ÓËÙ¶ÈÑØË®Æ½·½ÏòÏò×óÔ˶¯Ê±£¬Ð±ÃæÉϵÄÎïÌåmÓë³µÏáÏà¶Ô¾²Ö¹£¬·ÖÎöÎïÌåmËùÊÜĦ²ÁÁ¦µÄ·½Ïò¡£

²é¿´´ð°¸ºÍ½âÎö>>

¿ÆÄ¿£º¸ßÖÐÎïÀí À´Ô´£º ÌâÐÍ£º

ÈçÓÒÉÏͼËùʾ£¬³µÏáÖÐÓÐÒ»Çã½ÇΪ30¡ãµÄÐ±Ãæ£¬µ±»ð³µÒÔ10m/s2¼ÓËÙ¶ÈÑØË®Æ½·½ÏòÏò×óÔ˶¯Ê±£¬Ð±ÃæÉϵÄÎïÌåmÓë³µÏáÏà¶Ô¾²Ö¹£¬ÎïÌåmËùÊÜĦ²ÁÁ¦µÄ·½ÏòÊÇ                 .

²é¿´´ð°¸ºÍ½âÎö>>

ͬ²½Á·Ï°²á´ð°¸