精英家教网 > 高中物理 > 题目详情

一台发电机产生的按正弦规律变化的电动势的峰值为400V,线圈匀速转动的角速度为314rad/s,今将该发电机与只含电阻的负载组成闭合电路,其总电阻为2000Ω,试写出该电路电流的瞬时值表达式并求出该电路所消耗的交流电功率.

答案:
解析:

  解:电路电动势的瞬时值表达式为:e=400sin314t,

  电流的瞬时值表达式为:

  i=

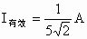
  电流的有效值:

  故所消耗的交流电功率为:

  P=×2000W=40W.


练习册系列答案
相关习题

科目:高中物理 来源:江苏省阜宁县中学2011-2012学年高二下学期期中调研考试物理试题 题型:038

一台发电机产生的按正弦规律变化的感应电动势的最大值为311 V,线圈在磁场中转动的角速度是100πrad/s.

(1)写出感应电动势的瞬时值表达式.

(2)若该发电机只与含电阻的负载组成闭合电路,电路中的总电阻为100 Ω,试写出通过负载的电流强度的瞬时表达式.在ts时电流强度的瞬时值为多少?

查看答案和解析>>

科目:高中物理 来源: 题型:

一台发电机产生的按正弦规律变化的感应电动势的最大值为311 V,线圈在磁场中转动的角速度是100π rad/S.?

(1)写出感应电动势的瞬时值表达式.

(2)若该发电机只与含电阻的负载组成闭合电路,电路中的总电阻为100Ω,试写出通过负载的电流的瞬时表达式.在时电流的瞬时值为多少?

查看答案和解析>>

科目:高中物理 来源: 题型:

一台发电机产生的按正弦规律变化的感应电动势的最大值为311 V,线圈在磁场中转动的角速度是100π rad/S.?

(1)写出感应电动势的瞬时值表达式.

(2)若该发电机只与含电阻的负载组成闭合电路,电路中的总电阻为100Ω,试写出通过负载的电流的瞬时表达式.在时电流的瞬时值为多少?

查看答案和解析>>

科目:高中物理 来源:同步题 题型:计算题

一台发电机产生的按正弦规律变化的电动势的峰值为400 V,线圈匀速转动的角速度为314 rad/s,试写出电动势瞬时值的表达式.如果该发电机与只含电阻的负载组成的闭合电路的总电阻为2 000  Ω,则电路中电流的峰值为多少?电流的瞬时值表达式怎样?

查看答案和解析>>

科目:高中物理 来源: 题型:

一台发电机产生的按正弦规律变化的电动势的峰值为 400 V,线圈匀速转动的角速度为 314 rad/s,试写出电动势瞬时值的表达式.如果该发电机与只含电阻的负载组成的闭合电路的总电阻为2 000 Ω,则电路中电流的峰值为多少?电流的瞬时值表达式怎样?

查看答案和解析>>

同步练习册答案