精英家教网 > 高中物理 > 题目详情

(运动学中的临界和极值问题)在水平长直的轨道上,有一长度为L的平板车在外力控制下始终保持速度v0做匀速直线运动某时刻将一质量为m的小滑块轻放到车面的中点,滑块与车面间的动摩擦因数为μ.

(1)证明:若滑块最终停在小车上,滑块和车摩擦产生的内能与动摩擦因数μ无关,是一个定值.

(2)已知滑块与车面间动摩擦因数μ=0.2,滑块质量m1 kg,车长L2 m,车速v04 m/s,取g10 m/s2,当滑块放到车面中点的同时对该滑块施加一个与车运动方向相同的恒力F,要保证滑块不能从车的左端掉下,恒力F大小应该满足什么条件?

(3)(2)的情况下,力F取最小值,要保证滑块不从车上掉下,力F的作用时间应该在什么范围内?

答案:
解析:

  (1)根据牛顿第二定律,滑块相对车滑动时的加速度

  (1)

  滑块相对车滑动的时间(1)

  滑块相对车滑动的距离(1)

  滑块与车摩擦产生的内能(1)

  由上述各式解得(与动摩擦因数μ无关的定值)(1)

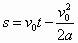
  (2)设恒力F取最小值为F1,滑块加速度为a1,此时滑块恰好到达车的左端,则

  滑块运动到车左端的时间 ①

  由几何关系有 ②(1)

  由牛顿定律有 ③(1)

  由①②③式代入数据解得t10.5 s(2)

  则恒力F大小应该满足条件是(1)

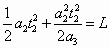
  (3)F取最小值,当滑块运动到车左端后,为使滑块恰不从右端滑出,相对车先做匀加速运动(设运动加速度为a2,时间为t2),再做匀减速运动(设运动加速度大小为a3).到达车右端时,与车达共同速度.则有

   ④(1)

   ⑤(1)

   ⑥(1)

  由④⑤⑥式代入数据解得(1)

  则力F的作用时间t应满足,即(2)


提示:

  1.临界和极值问题的处理关键就是找到临界状态,进一步确定临界条件

  2.运动学中的临界问题还应注意找到时间和位移关系,以便列出方程.


练习册系列答案
相关习题

同步练习册答案