精英家教网 > 高中物理 > 题目详情

一辆汽车以10m/s的初速度在水平地面上匀减速滑动,加速度大小为2m/s2,求:
(1)汽车在2s末的速度。
(2)汽车在6秒内的位移。
(3)汽车在最后1s内的平均速度。

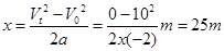
(1)6m/s(2)25m()

解析试题分析:
(1)由得2S末
(2)设汽车经过t0停止,则
,此时汽车已停止
∴6s内的位移
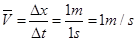
(3)前4s内汽车的位移
∴最后1s内的位移△x=x-x1=25m-24m=1m

考点:本题考查了匀变速直线运动规律的应用

练习册系列答案
相关习题

科目:高中物理 来源: 题型:

一辆汽车以10m/s的速度匀速行驶10s,然后又以2m/s2的加速度行驶10s,汽车在这20s内的位移是
300
300
m,平均速度是
15
15
m/s.

查看答案和解析>>

科目:高中物理 来源: 题型:

(2011?东莞二模)一辆汽车以10m/s的速度沿平直公路匀速运动,司机发现前方有障碍物立即减速,以0.2m/s2的加速度做匀减速运动,减速后1min内汽车的位移为(  )

查看答案和解析>>

科目:高中物理 来源: 题型:

一辆汽车以10m/s的初速度在水平地面上匀减速滑动,加速度大小为2m/s2,.求:
(1)汽车在6秒内的位移大小.
(2)汽车在最后1s内的平均速度的大小.

查看答案和解析>>

科目:高中物理 来源: 题型:

公路上的一辆汽车以10m/s的速率驶过一座凸形桥顶时,车对桥顶压力可能(g=10m/s2)(  )

查看答案和解析>>

科目:高中物理 来源: 题型:

一辆汽车以10m/s的速度沿平直公路匀速前进,因前方有障碍物而需立即刹车,以2m/s2的加速度做匀减速运动,则经过6s汽车的位移是(  )

查看答案和解析>>

同步练习册答案