精英家教网 > 高中物理 > 题目详情

电量相同质量不同的同位素离子以相同的速率从a孔射入正方形空腔中,空腔内匀强磁场的磁感应强度方向如图所示.如果从b、c射出的离子质量分别为m1、m2,运动时间分别为t1、t2,打到d点的离子质量为m3,运动时间为t3.则下列判断正确的是(    )

A.m1>m2>m3        B.t3>t2>t1  

C.m1:m2=1:2    D.m2:m3=2:1

 

【答案】

C

【解析】

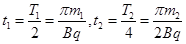
试题分析:同位素离子在匀强磁场中做匀速圆周运动,其半径R=,m1的半径为m2 的一半,故m2=2m1,m1:m2=1:2,而m3 的半径更大,故m3最大,选项C正确A、D错误。由于同位素离子在匀强磁场中做匀速圆周运动的周期,故,所以,选项B错误。

考点:带电粒子在匀强磁场中的运动

 

练习册系列答案
相关习题

科目:高中物理 来源:2013届度山东省济宁市高二物理上学期期末物理卷 题型:选择题

带电量与质量都相同的两个粒子,以不同速率从同一点垂直于磁感线方向射入同一匀强磁场中,两粒子运动的轨迹如图所示,关于两个粒子的运动速率v、在磁场中的运动时间t及圆周运动周期T、角速度的表达正确的是(重力不计)      

A.                                      B.

C.                                     D.

 

查看答案和解析>>

科目:高中物理 来源:福建省高考真题 题型:计算题

如图甲,在x>0的空间中存在沿y轴负方向的匀强电场和垂直于xOy平面向里的匀强磁场,电场强度大小为E,磁感应强度大小为B,一质量为m,带电量为q(q>0)的粒子从坐标原点O处,以初速度v0沿x轴正方向射入,粒子的运动轨迹见图甲,不计粒子的重力。
(1)求该粒子运动到y=h时的速度大小v;
(2)现只改变入射粒子初速度的大小,发现初速度大小不同的粒子虽然运动轨迹(y-x曲线)不同,但具有相 同的空间周期性,如图乙所示;同时,这些粒子在y轴方向上的运动(y-t关系)是简谐运动,且都有相同的周期
I.求粒子在一个周期T内,沿x轴方向前进的距离s;
Ⅱ.当入射粒子的初速度大小为v0时,其y-t图象如图丙所示,求该粒子在y轴方向上做简谐运动的振幅A,并写出y-t的函数表达式。

查看答案和解析>>

科目:高中物理 来源: 题型:

带电量与质量都相同的两个粒子,以不同速率从同一点垂直于磁感线方向射入同一匀强磁场中,两粒子运动的轨迹如图所示,关于两个粒子的运动速率v、在磁场中的运动时间t及圆周运动周期T、角速度的表达正确的是(重力不计)   

A.                   B.

C.                   D.

查看答案和解析>>

科目:高中物理 来源: 题型:

带电量与质量都相同的两个粒子,以不同速率从同一点垂直于磁感线方向射入同一匀强磁场中,两粒子运动的轨迹如图所示,关于两个粒子的运动速率v、在磁场中的运动时间t及圆周运动周期T、角速度的表达正确的是(重力不计)      

A.                                      B.

C.                                     D.

 

查看答案和解析>>

科目:高中物理 来源:2011-2012学年度山东省济宁市曲阜一中高二物理上学期期末物理卷 题型:单选题

带电量与质量都相同的两个粒子,以不同速率从同一点垂直于磁感线方向射入同一匀强磁场中,两粒子运动的轨迹如图所示,关于两个粒子的运动速率v、在磁场中的运动时间t及圆周运动周期T、角速度的表达正确的是(重力不计)       

A.B.
C.D.

查看答案和解析>>

同步练习册答案