精英家教网 > 高中物理 > 题目详情

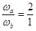
如图所示为一皮带传动装置,右轮半径为r,a为它边缘上一点;左侧是一轮轴,大轮半径为4r,小轮半径为2r,b点在小轮上,到小轮中心的距离为r。c点和d点分别位于小轮和大轮的边缘上。若传动过程中皮带不打滑,则 

A.a点和b点的线速度大小相等

B.a点和b点的角速度大小相等

C.a点和c点的线速度大小相等

D.a点和d点的向心加速度相等

 

【答案】

CD

【解析】

试题分析:因为a和c,是皮带传动轮上的两点,所以a点和c点的线速度大小相等;a点和b点的线速度大小不相等;根据,所以,而b、c、d三点的角速度相等,所以,根据,所以。所以选项CD正确。

考点:此题考查皮带及同轴传动中线速度、角速度及向心加速度的关系。

 

练习册系列答案
相关习题

科目:高中物理 来源: 题型:

(2013?湖南模拟)如图所示为一皮带传动装置,右轮的半径为r,a是它边缘上的一点.左侧是一轮轴,大轮的半径为4r,小轮的半径为2r.b点在小轮上,到小轮中心的距离为r.c点和d点分别位于小轮和大轮的边缘上.若在传动过程中,皮带不打滑.则(  )

查看答案和解析>>

科目:高中物理 来源: 题型:

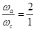
如图所示为一皮带传动装置,右轮的半径为r,a是它边缘上的一点;左轮的半径为2r,b是左轮边缘上的一点,c到左轮中心的距离为r.若在传动过程中,两轮均匀速率转动,且皮带不打滑.则a、b两点的线速度大小关系是va:vb=
1:1
1:1
,a、c两点的角速度大小关系是ωa:ωc=
2:1
2:1

查看答案和解析>>

科目:高中物理 来源: 题型:

如图所示为一皮带传动装置,在传动过程中皮带不打滑,则轮上A、B、C三点的线速度、角速度及向心加速度的关系正确的是(  )

查看答案和解析>>

科目:高中物理 来源: 题型:

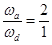
如图所示为一皮带传动装置,右轮半径为r,a点在它的边缘上.左轮半径为2r,b点在它的边缘上.若在传动过程中,皮带不打滑,则a、b两点的角速度之比为ωa:ωb=
2:1
2:1
;向心加速度之比为aa:ab=
2:1
2:1

查看答案和解析>>

科目:高中物理 来源: 题型:

如图所示为一皮带传动装置,右轮的半径为r,a是它边缘上的一点.左轮的半径为2r.c点在左轮上,到左轮中心的距离为r.a点和b点分别位于右轮和左轮的边缘上.若在传动过程中,皮带不打滑.则  (  )

查看答案和解析>>

同步练习册答案