精英家教网 > 高中物理 > 题目详情
如图所示,PABCD是固定在竖直平面内的光滑绝缘轨道,其中PA是竖直轨道,ABCD是半径为R的圆弧轨道,两轨道在A点平滑连接。B、D分别为圆弧轨道的最低点和最高点,B、D连线是竖直直径,A、C连线是水平直径,P、D在同一水平线上。质量为m、电荷量为+q的小球从轨道上P点静止释放,运动过程电荷量保持不变,重力加速度为g。
(1)小球运动到B点时,轨道对小球的作用力为多大?
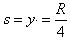
(2)当小球运动到C点时,突然在整个空间中加上一个方向竖直向上的匀强电场,电场强度结果小球运动到点D后水平射出,经过一段时间碰到了轨道的Q点,求Q点与P点间的距离s。
解:(1)小球从P点运动到B点过程,根据机械能守恒定律得 ①
在B点,根据牛顿定律得 ②
由以上两式解得轨道对小球的作用力NB=5mg ③
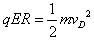
(2)小球从P点运动到D点过程,由动能定理得
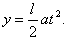
小球离开D点后做类平抛运动,设Q点在轨道PA上水平方向上做匀速运动,有R=vDt ⑤
竖直方向上做匀加速运动有mg-qE=ma ⑥
 ⑦
代入,由以上各式解得 ⑧
由于y<R,因此碰撞点Q在轨道PA上 ⑨
即Q点与P点间的距离 ⑩
练习册系列答案
相关习题

科目:高中物理 来源: 题型:

(2011?安庆模拟)如图所示,PABCD是固定在竖直平面内的光滑绝缘轨道,其中PA是竖直轨道,ABCD是半径为R的圆弧轨道,两轨道在A点平滑连接.B、D分别为圆轨道的最低点和最高点,B、D连线是竖直直径,A、C连线是水平直径,P、D在同一水平线上.质量为m、电荷量为+q的小球从轨道上P点静止释放,运动过程中电荷量保持不变,重力加速度为g.
(1)小球运动到B点时,轨道对小球的作用力有多大?
(2)当小球运动到C点时,突然在整个空间中加上一个方向竖直向上的匀强电场,电场强E=
mg2q
,结果小球运动到点D后水平射出,经过一段时间碰到了轨道的Q点,
求:Q点与P点间的距离s.

查看答案和解析>>

科目:高中物理 来源: 题型:

(18分)如图所示,PABCD是固定在竖直平面内的光滑绝缘轨道,其中PA是竖直轨道,ABCD是半径为R的圆弧轨道,两轨道在A点平滑连接.B、D分别为圆轨道的最低点和最高点, B、D连线是竖直直径,A、C连线是水平直径,P、D在同一水平线上.质量为m、电荷量为+q的小球从轨道上P点静止释放,运动过程电荷量保持不变,重力加速度为g.

(1)小球运动到B点时,轨道对小球的作用力有多大?

(2)当小球运动到C点时,突然在整个空间中加上一个方向竖直向上的匀强电场,电场强度,结果小球运动点D后水平射出,经过一段时间碰到了轨道的Q点,求Q点与P点间的距离s

查看答案和解析>>

科目:高中物理 来源: 题型:

如图所示,PABCD是固定在竖直平面内的光滑绝缘轨道,其中PA是竖直轨道, ABCD是半径为R的圆弧轨道,两轨道在A点平滑连接.B、D分别为圆轨道的最低点和最高点, B、D连线是竖直直径,A、C连线是水平直径,P、D在同一水平线上.质量为m、电荷量为+q的小球从轨道上P点静止释放,运动过程中电荷量保持不变,重力加速度为g.

(1)小球运动到B点时,轨道对小球的作用力有多大?

(2)当小球运动到C点时,突然在整个空间中加上一个方向竖直向上的匀强电场,电场强度,结果小球运动到点D后水平射出,经过一段时间碰到了轨道的Q点,求:Q点与P点间的距离s

 


查看答案和解析>>

科目:高中物理 来源:2011-2012学年吉林省长春十一中高三(上)月考物理试卷(解析版) 题型:解答题

如图所示,PABCD是固定在竖直平面内的光滑绝缘轨道,其中PA是竖直轨道,ABCD是半径为R的圆弧轨道,两轨道在A点平滑连接.B、D分别为圆轨道的最低点和最高点,B、D连线是竖直直径,A、C连线是水平直径,P、D在同一水平线上.质量为m、电荷量为+q的小球从轨道上P点静止释放,运动过程中电荷量保持不变,重力加速度为g.
(1)小球运动到B点时,轨道对小球的作用力有多大?
(2)当小球运动到C点时,突然在整个空间中加上一个方向竖直向上的匀强电场,电场强E=,结果小球运动到点D后水平射出,经过一段时间碰到了轨道的Q点,
求:Q点与P点间的距离s.

查看答案和解析>>

科目:高中物理 来源:2011年湖北省补习学校联考高考物理模拟试卷(解析版) 题型:解答题

如图所示,PABCD是固定在竖直平面内的光滑绝缘轨道,其中PA是竖直轨道,ABCD是半径为R的圆弧轨道,两轨道在A点平滑连接.B、D分别为圆轨道的最低点和最高点,B、D连线是竖直直径,A、C连线是水平直径,P、D在同一水平线上.质量为m、电荷量为+q的小球从轨道上P点静止释放,运动过程中电荷量保持不变,重力加速度为g.
(1)小球运动到B点时,轨道对小球的作用力有多大?
(2)当小球运动到C点时,突然在整个空间中加上一个方向竖直向上的匀强电场,电场强E=,结果小球运动到点D后水平射出,经过一段时间碰到了轨道的Q点,
求:Q点与P点间的距离s.

查看答案和解析>>

同步练习册答案