精英家教网 > 高中物理 > 题目详情

一长度为L=0.5m的轻杆,其一端固定于转轴O上,另一端连接一质量为m=2kg的小球,小球随着轻杆一起绕O点在竖直平面内做圆周运动,求在最高点时下列两种情况下球对轻杆的作用力(g取):

(1)A的速率为1.0m/s;

(2)A的速率为4.0m/s.

答案:16N;44N
解析:

(1)当物体A的速率为1.0m/s时,由于此时的速度比小,所以轻杆对小球的作用力方向向上,该力和小球的重力之差作为向心力,即,由此可以解得

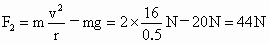
(2)当物体A的速率为4.0m/s时,由于此时的速度比大,所以轻杆对小球的作用力方向向下,该力和小球的重力之和作为向心力,即,由此可以解得


练习册系列答案
相关习题

科目:高中物理 来源: 题型:

精英家教网长度为L=0.5m的轻质细杆OA,A端有一质量为m=3.0kg的小球,如图,小球以O点为圆心在竖直平面内做圆周运动,g取10m/s2,计算下列各种情况小球对细杆OA的弹力.
(1)通过最低点时小球的速率是8.0m/s 
(2)通过最高点时小球的速率是2.0m/s
(3)通过最高点时小球的速率是6.0m/s.

查看答案和解析>>

科目:高中物理 来源: 题型:038

一长度为L=0.5m的轻杆,其一端固定于转轴O上,另一端连接一质量为M=2kg的小球A,小球A随着轻杆一起绕O点在竖直面内做圆周运动,求在最高点时下列两种情况下球对轻杆的作用力(g=10m/s2)

1)小球A的速率为1.0m/s

2)小球A的速率为4.0m/s

 

查看答案和解析>>

科目:高中物理 来源:物理教研室 题型:038

一长度为L=0.5m的轻杆,其一端固定于转轴O上,另一端连接一质量为M=2kg的小球A,小球A随着轻杆一起绕O点在竖直面内做圆周运动,求在最高点时下列两种情况下球对轻杆的作用力(g=10m/s2)

1)小球A的速率为1.0m/s

2)小球A的速率为4.0m/s

 

查看答案和解析>>

科目:高中物理 来源:物理教研室 题型:038

一长度为L=0.5m的轻杆,其一端固定于转轴O上,另一端连接一质量为m=2kg的小球,小球随着轻杆一起绕O点在竖直平面内做圆周运动,求在最高点时下列两种情况下球对轻杆的作用力(g取):

(1)A的速率为1.0m/s;

(2)A的速率为4.0m/s.

查看答案和解析>>

同步练习册答案