精英家教网 > 高中物理 > 题目详情
如下图甲所示,在以O为坐标原点的xOy平面内,存在着范围足够大的电场和磁场.一个带正电小球在0时刻以v=3gt的初速度从O点沿+x方向(水平向右)射入该空间,在t时刻该空间同时加上如下图乙所示的电场和磁场,其中电场沿+y方向(竖直向上),场强大小,磁场垂直于xOy平面向外,磁感应强度大小.已知小球的质量为m,带电量为q,时间单位t,当地重力加速度g,空气阻力不计.试求:
(1)12t末小球速度的大小.
(2)在给定的xOy坐标系中,大体画出小球在0到24t内运动轨迹的示意图.
(3)30t内小球距x轴的最大距离.
【答案】分析:(1)正确对小球进行受力分析,明确运动形式,求出圆周运动的周期和所给时间直间的关系,最后利用平抛运动规律求解;
(2)根据第一问的解答,可正确画出图象;
(3)利用运动的周期性画出30t内小球运动轨迹图,然后利用数学知识求解.
解答:解:(1)0~t内,小球只受重力作用,做平抛运动.当同时加上电场和磁场时,电场力:F1=qE=mg,方向向上,因为重力和电场力恰好平衡,所以在电场和磁场同时存在时小球只受洛伦兹力而做匀速圆周运动,根据牛顿第二定律有:

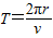
运动周期:
联立解得:T=2t
电场、磁场同时存在的时间正好是小球做圆周运动周期的5倍,即在这10t内,小球恰好做了5个完整的匀速圆周运动.所以小球在t1=12 t时刻的速度相当于小球做平抛运动t=2t时的末速度.
vy1=g?2t=2gt,所以12t末:

答:12t末小球速度的大小为
(2)开始12t时间内小球完成5个圆周运动和部分平抛运动,在接下来的12t时间运动规律类似,但是小球速度变大,运动班级变大,故24t内运动轨迹的示意图如右图所示.

(3)由下图分析可知,小球在30t时与24t时的位置相同,在24t内小球做了t2=3t的平抛运动,和半个圆周运动.
23t末小球平抛运动的竖直分位移大小为:


竖直分速度:vy2=3gt
所以小球与竖直方向的夹角为θ=45°,速度大小为:

此后小球做匀速圆周运动的半径:

30t末小球距x轴的最大距离:
y3=y2+(1+cos45°)r2=
答:30t内小球距x轴的最大距离为:
点评:解答带电粒子在磁场中运动的思路是正确受力分析,画出运动轨迹图,这类问题对学生数学知识要求较高,是考查重点和难点.
练习册系列答案
相关习题

科目:高中物理 来源: 题型:

(2012?桂林模拟)如下图甲所示,在以O为坐标原点的xOy平面内,存在着范围足够大的电场和磁场.一个带正电小球在0时刻以v0=3gt0的初速度从O点沿+x方向(水平向右)射入该空间,在t0时刻该空间同时加上如下图乙所示的电场和磁场,其中电场沿+y方向(竖直向上),场强大小E0=
mg
q
,磁场垂直于xOy平面向外,磁感应强度大小B0=
πm
qt0
.已知小球的质量为m,带电量为q,时间单位t0,当地重力加速度g,空气阻力不计.试求:
(1)12t0末小球速度的大小.
(2)在给定的xOy坐标系中,大体画出小球在0到24t0内运动轨迹的示意图.
(3)30t0内小球距x轴的最大距离.

查看答案和解析>>

科目:高中物理 来源: 题型:

如下图甲所示,在以O为坐标原点的xOy平面内,存在着范围足够大的电场和磁场。一个带正电小球在0时刻以v0=3gt0的初速度从O点沿+x方向(水平向右)射入该空间,在t0时刻该空间同时加上如下图乙所示的电场和磁场,其中电场沿+y方向(竖直向上),场强大小,磁场垂直于xOy平面向外,磁感应强度大小。已知小球的质量为m,带电量为q,时间单位t0,当地重力加速度g,空气阻力不计。试求:

1.12t0末小球速度的大小。

2.在给定的xOy坐标系中,大体画出小球在0到24t0内运动轨迹的示意图。

3.30t0内小球距x轴的最大距离。

 

 

查看答案和解析>>

科目:高中物理 来源: 题型:

如下图甲所示,在以O为坐标原点的xOy平面内,存在着范围足够大的电场和磁场,一个带正电小球在0时刻以v0= 3gt0的初速度从O点沿+x方向(水平向右)射入该空间,在t0时刻该空间同时加上如下图乙所示的电场和磁场,其中电场方向竖直向上,场强大小,磁场垂直于xOy平面向外,磁感应强度大小,已知小球的质量为m,带电量为q,时间单位为t0当地重力加速度为g,空气阻力不计.试求:

(1)t0末小球速度的大小;

(2)小球做圆周运动的周期T和12t0末小球速度的大小;

(3)在给定的xOy坐标系中,大体画出小球在0到24t0内运动轨迹的示意图;

(4)30t0内小球距x轴的最大距离.

 

查看答案和解析>>

科目:高中物理 来源:人教版高三物理二轮复习专题训练8 题型:计算题

如下图甲所示,在以O为坐标原点的xOy平面内,存在着范围足够大的电场和磁场。一个带正电小球在0时刻以v0=3gt0的初速度从O点沿+x方向(水平向右)射入该空间,在t0时刻该空间同时加上如下图乙所示的电场和磁场,其中电场沿+y方向(竖直向上),场强大小,磁场垂直于xOy平面向外,磁感应强度大小。已知小球的质量为m,带电量为q,时间单位t0,当地重力加速度g,空气阻力不计。试求:
【小题1】12t0末小球速度的大小。
【小题2】在给定的xOy坐标系中,大体画出小球在0到24t0内运动轨迹的示意图。
【小题3】30t0内小球距x轴的最大距离。

查看答案和解析>>

科目:高中物理 来源:2012年广西省桂林市、崇左市、百色市、防城港市高三联考物理卷 题型:计算题

如下图甲所示,在以O为坐标原点的xOy平面内,存在着范围足够大的电场和磁场,一个带正电小球在0时刻以v0= 3gt0的初速度从O点沿+x方向(水平向右)射入该空间,在t0时刻该空间同时加上如下图乙所示的电场和磁场,其中电场方向竖直向上,场强大小,磁场垂直于xOy平面向外,磁感应强度大小,已知小球的质量为m,带电量为q,时间单位为t0当地重力加速度为g,空气阻力不计.试求:

(1)t0末小球速度的大小;

(2)小球做圆周运动的周期T和12t0末小球速度的大小;

(3)在给定的xOy坐标系中,大体画出小球在0到24t0内运动轨迹的示意图;

(4)30t0内小球距x轴的最大距离.

 

查看答案和解析>>

同步练习册答案