ÈçͼËùʾ£¬ÓÉAºÍBÁ½Æ½ÐнðÊô°å¹¹³ÉµÄµçÈÝÆ÷£¬¹Ì¶¨ÔÚÒ»¾øÔµµ××ùÉÏ£¬²¢¾²Ö¹·ÅÖÃÔڹ⻬ˮƽµØÃæÉÏ£¬×ÜÖÊÁ¿ÎªM£¬µçÈÝΪC£®AÓëBÁ½°å¼äµÄ¾àÀëΪl£¬Ô­À´²»´øµç£®µçÈÝÆ÷µÄA°åÉϽÓÓÐÒ»¸ù´îµØ½ðÊôÁ´Ìõ£¬²¢ÇÒA°åÖÐÐÄÓÐÒ»¸öС¿×£¬µ²°å¿Éµ²×¡¾øÔµµ××ù²»ÄÜÏòÓÒÔ˶¯£¬Í¨¹ýÕâ¸öС¿×ÏòµçÈÝÆ÷ÖÐÉäÈëÖÊÁ¿Îªm£¬µçÁ¿ÎªqµÄ´øµçÁ£×Ó£¬ÉäÈëµÄ·½Ïò´¹Ö±ÓÚ¼«°åˮƽÏòÓÒ£¬ÉäÈëµÄËÙ¶ÈΪ(ÖØÁ¦²»¼Æ)£®Á£×ӵķ¢ÉäÊÇÒ»¸öÒ»¸öµ¥¶À½øÐе쬼´µÚÒ»¸öÁ£×Óµ½´ïB°åºóÔÙ·¢ÉäµÚ¶þ¸öÁ£×Ó£¬²¢ÇÒËùÓе½´ïB°åµÄÁ£×Ó¶¼ÁôÔÚB°åÉÏ£®Ëæ×ÅÁ£×ÓµÄÉäÈ룬Á½¼«°å¼äµÄµçÊÆ²îÖð½¥Ôö¼Ó£¬Ö±ÖÁ´ïµ½Ò»¸öÎȶ¨Öµ£®

(1)µ±B°åÉϾۻýÁËn¸öÉäÀ´µÄ´øµçÁ£×Óʱ£¬Á½°å¼äµç³¡µÄ³¡Ç¿E¶à´ó£¿

(2)µ½´ïB°åµÄ´øµçÁ£×Ó×î¶à¸öÊýµÈÓÚ¶àÉÙ£¿

(3)µ±µÚ£«1¸ö´øµçÁ£×Ó½øÈëС¿×ʱ£¬µ²°å±»³·Ïú£¬Ôò¸ÃÁ£×Ó½øÈëµçÈÝÆ÷ºó¾àÓÒ°åµÄ×îС¾àÀëΪ¶àÉÙ£¿(ΪµÚ(2)ÎÊÖеģ¬ÔÚ×îºó½á¹û±í´ïʽÖоÍÖ±½ÓÓÃ×Öĸ±íʾ)

´ð°¸£º
½âÎö£º

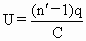
¡¡¡¡(1)B°åÉϾۻýÁËn¸öÉäÀ´µÄ´øµçÁ£×Óʱ£¬Á½°å¼äµÄµçѹΪ£º

¡¡¡¡Á½°å¼äµç³¡µÄ³¡Ç¿

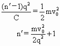
¡¡¡¡(2)ÉèµÚ¸ö´øµçÁ£×Óµ½´ïB°åʱËÙ¶ÈǡΪÁ㣬Ôò¾ÍÊǵ½´ïB°åµÄ´øµçÁ£×Ó×î¶à¸öÊý£®

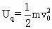
¡¡¡¡¶ÔµÚ¸öÁ£×Ó·ÖÎöÓɶ¯Äܶ¨ÀíµÃ£º

¡¡¡¡ÓÖÒòΪ

¡¡¡¡ÔòÓÐ

¡¡¡¡(3)µÚ£«1¸öÁ£×Ó¾àÓÒ°å¾àÀë×îСʱ±ØÓëµçÈÝÆ÷¹²ËÙ£¬¶ÔÕû¸öϵͳÓɶ¯Á¿ÊغãºÍ¶¯Äܶ¨ÀíµÃ

¡¡¡¡ÓÖÒòΪ

¡¡¡¡ÓÉ¢Ù¢Ú¢ÛµÃ

¡¡¡¡µÚ£«1Á£×Ó¾àÓÒ°åµÄ×îС¾àÀëΪ

¡¡¡¡¡¡¡¡¡¡¡¡


Á·Ï°²áϵÁдð°¸
Ïà¹ØÏ°Ìâ

¿ÆÄ¿£º¸ßÖÐÎïÀí À´Ô´£º ÌâÐÍ£º

ÈçͼËùʾ£¬ÓÉA¡¢BÁ½Æ½ÐнðÊô°å¹¹³ÉµÄµçÈÝÆ÷·ÅÖÃÔÚÕæ¿ÕÖУ¬µçÈÝΪC£¬Ô­À´²»´øµç£®µçÈÝÆ÷µÄA°å½ÓµØ£¬²¢ÇÒÖÐÐÄÓÐÒ»¸öС¿×£¬Í¨¹ýÕâ¸öС¿×ÏòµçÈÝÆ÷ÖÐÉäÈëµç×Ó£¬ÉäÈëµÄ·½Ïò´¹Ö±ÓÚ¼«°å£¬ÉäÈëµÄËÙ¶ÈΪv0£¬Èç¹ûµç×ӵķ¢ÉäÊÇÒ»¸öÒ»¸öµ¥¶À½øÐе쬼´µÚÒ»¸öµç×Óµ½´ïB°åºóÔÙ·¢ÉäµÚ¶þ¸öµç×Ó£¬²¢ÇÒËùÓе½´ï°åµÄµç×Ó¶¼ÁôÔÚB°åÉÏ£®Ëæ×ŵç×ÓµÄÉäÈ룬Á½¼«°å¼äµÄµçÊÆ²îÖð½¥Ôö¼Ó£¬Ö±ÖÁ´ïµ½Ò»¸öÎȶ¨Öµ£¬ÒÑÖªµç×ÓµÄÖÊÁ¿Îªm£¬µçºÉÁ¿Îªe£¬µç×ÓËùÊܵÄÖØÁ¦ºöÂÔ²»¼Æ£¬Á½°åµÄ¾àÀëΪl£®
£¨1£©µ±°åÉϾۼ¯ÁËn¸öÉäÀ´µÄµç×Óʱ£¬Á½°å¼äµç³¡µÄ³¡Ç¿E¶à´ó£¿
£¨2£©×î¶àÄÜÓжàÉÙ¸öµç×Óµ½´ïB°å£¿
£¨3£©µ½´ïB°åµÄµÚÒ»¸öµç×ÓÔÚÁ½°å¼äÔ˶¯µÄʱ¼äºÍ×îºóÒ»¸öµç×ÓÔÚÁ½°å¼äÔ˶¯µÄʱ¼äÏà²î¶àÉÙ£¿

²é¿´´ð°¸ºÍ½âÎö>>

¿ÆÄ¿£º¸ßÖÐÎïÀí À´Ô´£º ÌâÐÍ£º

ÈçͼËùʾ£¬ÓÉa¡¢bÁ½ÖÖÆµÂÊ·Ö±ðΪv1ºÍv2µÄµ¥É«¹â×é³ÉµÄϸ¹âÊøAO£¬ÒÔ45¡ãµÄÈëÉä½Ç´ÓijÖÖ½éÖÊÉäÏò¿ÕÆøÊ±£¬·ÖΪÁËÁ½Êø£®¹ØÓÚÕâÁ½ÖÖµ¥É«¹â£¬ÏÂÁÐ˵·¨ÖÐÕýÈ·µÄÊÇ£¨¡¡¡¡£©

²é¿´´ð°¸ºÍ½âÎö>>

¿ÆÄ¿£º¸ßÖÐÎïÀí À´Ô´£º²»Ïê ÌâÐÍ£ºµ¥Ñ¡Ìâ

ÈçͼËùʾ£¬ÓÉa¡¢bÁ½ÖÖÆµÂÊ·Ö±ðΪv1ºÍv2µÄµ¥É«¹â×é³ÉµÄϸ¹âÊøAO£¬ÒÔ45¡ãµÄÈëÉä½Ç´ÓijÖÖ½éÖÊÉäÏò¿ÕÆøÊ±£¬·ÖΪÁËÁ½Êø£®¹ØÓÚÕâÁ½ÖÖµ¥É«¹â£¬ÏÂÁÐ˵·¨ÖÐÕýÈ·µÄÊÇ£¨¡¡¡¡£©
A£®´Ó¸Ã½éÖÊÉäÏò¿ÕÆøÊ±£¬b¹â·¢ÉúÈ«·´ÉäµÄÁÙ½ç½ÇÒ»¶¨ÊÇ45¡ã
B£®¸Ã½éÖʶÔa¹âµÄÕÛÉäÂÊÒ»¶¨Ð¡ÓÚ
2
C£®ÓÃa¹âºÍb¹â·Ö±ð×öË«·ì¸ÉÉæÊµÑ飬ÈôʵÑéÌõ¼þÏàͬ£¬Ôòb¹âÔÚÆÁÉÏÐγɵÄÃ÷ÌõÎÆµÄ¼ä¾à½Ï´ó
D£®ÈôÓÃb¹âÕÕÉäij½ðÊô°åÄÜ·¢Éú¹âµçЧӦ£¬ÔòÓÃa¹âÕÕÉä¸Ã½ðÊô°åÒ²Ò»¶¨ÄÜ·¢Éú¹âµçЧӦ
¾«Ó¢¼Ò½ÌÍø

²é¿´´ð°¸ºÍ½âÎö>>

¿ÆÄ¿£º¸ßÖÐÎïÀí À´Ô´£º2010-2011ѧÄê½­Î÷Ê¡¼ª°²ÊмªÖÝÇø°×ðØÖÞÖÐѧ¸ßÈý£¨ÉÏ£©Ô¿¼ÎïÀíÊÔ¾í£¨10Ô·ݣ©£¨½âÎö°æ£© ÌâÐÍ£ºÑ¡ÔñÌâ

ÈçͼËùʾ£¬ÓÉa¡¢bÁ½ÖÖÆµÂÊ·Ö±ðΪv1ºÍv2µÄµ¥É«¹â×é³ÉµÄϸ¹âÊøAO£¬ÒÔ45°µÄÈëÉä½Ç´ÓijÖÖ½éÖÊÉäÏò¿ÕÆøÊ±£¬·ÖΪÁËÁ½Êø£®¹ØÓÚÕâÁ½ÖÖµ¥É«¹â£¬ÏÂÁÐ˵·¨ÖÐÕýÈ·µÄÊÇ£¨ £©
A£®´Ó¸Ã½éÖÊÉäÏò¿ÕÆøÊ±£¬b¹â·¢ÉúÈ«·´ÉäµÄÁÙ½ç½ÇÒ»¶¨ÊÇ45°
B£®¸Ã½éÖʶÔa¹âµÄÕÛÉäÂÊÒ»¶¨Ð¡ÓÚ
C£®ÓÃa¹âºÍb¹â·Ö±ð×öË«·ì¸ÉÉæÊµÑ飬ÈôʵÑéÌõ¼þÏàͬ£¬Ôòb¹âÔÚÆÁÉÏÐγɵÄÃ÷ÌõÎÆµÄ¼ä¾à½Ï´ó
D£®ÈôÓÃb¹âÕÕÉäij½ðÊô°åÄÜ·¢Éú¹âµçЧӦ£¬ÔòÓÃa¹âÕÕÉä¸Ã½ðÊô°åÒ²Ò»¶¨ÄÜ·¢Éú¹âµçЧӦ

²é¿´´ð°¸ºÍ½âÎö>>

ͬ²½Á·Ï°²á´ð°¸