精英家教网 > 高中物理 > 题目详情
如图所示,在某一足够大的真空室中,虚线PH的右侧是一磁感应强度为B、方向垂直纸面向里的匀强磁场,左侧是一场强为E、方向水平向左的匀强电场。在虚线PH上的点O处有一质量为M、电荷量为Q的镭核(Ra)。某时刻原来静止的镭核水平向右放出一个质量为m、电荷量为q的α粒子而衰变为氡(Rn)核,设α粒子与氡核分离后它们之间的作用力忽略不计,涉及动量问题时,亏损的质量可不计。
(1)写出镭核衰变为氡核的核反应方程;
(2)经过一段时间α粒子刚好到达虚线PH上的A点,测得=L。求此时刻氡核的速率。
解:(1)核反应方程为RaRn+He
(2)设衰变后,氡核的速度为,α粒子速度为,由动量守恒定律得(M一m)=m
α粒子在匀强磁场中做匀速圆周运动,到达A点需要的时间为

氡核在电场中做匀加速直线运动,t时刻速度为v=+at
氡核的加速度为
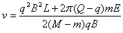
由以上各式解得
练习册系列答案
相关习题

科目:高中物理 来源: 题型:

如图所示,在某一足够大的真空室中,虚线PH的右侧是一磁感应强度为B、方向垂直纸面向里的匀强磁场,左侧是一场强为E、方向水平向左的匀强电场.在虚线PH上的点O处有一质量为M、电荷量为Q的镭核(88226Ra).某时刻原来静止的镭核水平向右放出一个质量为m、电荷量为q的α粒子而衰变为氡(Rn)核,设α粒子与氡核分离后它们之间的作用力忽略不计,涉及动量问题时,亏损的质量可不计.
(1)写出镭核衰变为氡核的核反应方程;
(2)经过一段时间α粒子刚好到达虚线PH上的A点,测得
.
OA
=L.求此时刻氡核的速率.

查看答案和解析>>

科目:高中物理 来源: 题型:

如图所示,在某一足够大的真空室中,虚线PH的右侧是一磁感应强度为B、方向垂直纸面向里的匀强磁场,左侧是一场强为E、方向水平向左的匀强电场.在虚线PH上的点O处有一质量为M、电荷量为Q的镭核(Ra).某时刻原来静止的镭核水平向右放出一个质量为m、电荷量为q的粒子而衰变为氡(Rn)核,设粒子与氡核分离后它们之间的作用力忽略不计,涉及动量问题时,亏损的质量可不计.

(1)写出镭核衰变为氡核的核反应方程;

 (2)经过一段时间粒子刚好到达虚线PH上的A点,测得= L.求此时刻氡核的速率。

查看答案和解析>>

科目:高中物理 来源: 题型:

如图所示,在某一足够大的真空室中,虚线PH的右侧是一磁感应强度为B,方向垂直纸面向里的匀强磁场,左侧是一场强为E、方向水平向左的匀强电场。在虚线PH上的一点O处有一质量为M、电荷量为Q的镭核(Ra)。某时刻原来静止的镭核水平向右放出一个质量为m、电荷量为q的α粒子而衰变为氡(Rn)核,设α粒子与氡核分离后它们之间的作用力忽略不计,涉及动量问题时,亏损的质量可不计。

 经过一段时间α粒子刚好到达虚线PH

上的A点,测得OA=L。求此时刻氡核的

速率                             

查看答案和解析>>

科目:高中物理 来源: 题型:

如图所示,在某一足够大的真空室中,虚线PH的右侧是一磁感应强度为B、方向垂直纸面向里的匀强磁场,左侧是一场强为E、方向水平向左的匀强电场.在虚线PH上的点O处有一质量为M、电荷量为Q的镭核(Ra).某时刻原来静止的镭核水平向右放出一个质量为m、电荷量为q的粒子而衰变为氡(Rn)核,设粒子与氡核分离后它们之间的作用力忽略不计,涉及动量问题时,亏损的质量可不计.
(1)写出镭核衰变为氡核的核反应方程;
(2)经过一段时间粒子刚好到达虚线PH上的A点,测得= L.求此时刻氡核的速率.

查看答案和解析>>

科目:高中物理 来源: 题型:

如图所示,在某一足够大的真空室中,虚线MN的右侧是一磁感应强度为B、方向垂直于纸面向里的匀强磁场,左侧是一场强为E、方向水平向左的匀强电场.在虚线MN上的一点O处有一质量为M、电荷量为Q的镭(Ra)核.某时刻原来静止的镭核水平向右放出质量为m、电荷量为q的α粒子而衰变为氡(Rn)核.不计氡核与α粒子之间的相互作用力,涉及动量问题时也不计亏损的质量.

(1)写出镭核衰变为氡核的核反应方程式;

(2)经过一段时间,α粒子刚好到达虚线上的A点时,测得OA=L,求此段时间氡核发生的位移.

查看答案和解析>>

同步练习册答案