精英家教网 > 高中物理 > 题目详情
如图所示,半径为R的的光滑圆弧轨道竖直放置,底端与光滑的水平轨道相接,质量为m2的小球B静止光滑水平轨道上,其左侧连接了一轻质弹簧,质量为m1的小球A自圆弧轨道的顶端由静止释放,重力加速度为g,试求:
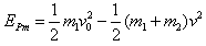
(1)小球A撞击轻质弹簧的过程中,弹簧的最大弹性势能为多少?
(2)要使小球A与小球B能发生二次碰撞,m1与m2应满足什么关系?
解:(1)设A球到达圆弧底端时的速度为v0
根据机械能守恒定律有: ①
当A、B两球速度相同时,弹簧的弹性势能最大,设共同速度为v
根据动量守恒定律有:
根据机械能守恒定律有:
联立①②③解得:
(2)设A、B碰撞后的速度分别为v1和v2
根据动量守恒定律有:
根据机械能守恒定律有:
联立⑤⑥解得: ⑦, ⑧
要使A、B两球能发生二次碰撞,必须满足
则有: ⑩,或
解得: (不符合事实,舍去)
练习册系列答案
相关习题

科目:高中物理 来源: 题型:

如图所示,半径为R的光滑半圆轨道竖直放置,两个质量均为m的小球A、B以不同的速率进入轨道,A通过最高点C时,对轨道的压力为3mg,B通过最高点C时,对轨道的压力恰好为零,求:
(1)A、B两球从C点飞出的速度分别为多少?
(2)A、B两球落地点间的距离.

查看答案和解析>>

科目:高中物理 来源: 题型:

如图所示,半径为R的vt-sB=l光滑圆弧轨道竖直放置,底端与光滑的水平轨道相接,质量为m的小球B静止光滑水平轨道上,其左侧连接了一轻质弹簧,质量为m的小球A自圆弧轨道的顶端由静止释放,重力加速度为g,小球可视为质点.
求:(1)小球A滑到圆弧面底端时的速度大小.
(2)小球A撞击轻质弹簧的过程中,弹簧的最大弹性势能为多少.

查看答案和解析>>

科目:高中物理 来源: 题型:

精英家教网如图所示,半径为R的
14
圆弧支架竖直放置,支架底ab离地的距离为4R,圆弧边缘C处有一小定滑轮,一轻绳两端分别系着质量分别为m1与m2的物体,挂在定滑轮两边,切m1>m2,开始时m1、m2均静止,切m1、m2视为质点(不计一切摩擦),求:
(1)m1经过圆弧最低点a时的速度;
(2)若m1到最低点时绳断开,m1与m2之间必须满足什么关系?

查看答案和解析>>

科目:高中物理 来源: 题型:

精英家教网如图所示,半径为R的半圆轨道BC竖直放置.一个质量为m 的小球以某一初速度从A点出发,经AB段进入半圆轨道,在B点时对轨道的压力为7mg,之后向上运动完成半个圆周运动恰好到达C点.试求:
(1)小球上升过程中克服阻力做功;
(2)小球从C点飞出后,触地时重力的功率.

查看答案和解析>>

科目:高中物理 来源: 题型:

精英家教网如图所示,半径为r的圆筒,绕竖直中心轴OO′旋转,小物块a靠在圆筒的内壁上,它与圆筒内壁间的动摩擦因数为μ,现要使a不下落,则圆筒转动的角速度ω至少为(  )
A、
μgr
B、
μg
C、
g
r
D、
g
μr

查看答案和解析>>

同步练习册答案