精英家教网 > 高中物理 > 题目详情
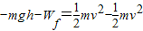
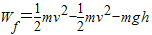
建筑工地上,某建筑工人甲从地面向上抛出一质量为m的砖块,被离地面高为h的平台上的乙接住.已知抛出时的速度为v,当它被乙接住时的速度为v,用g表示重力加速度,则在此过程中砖块克服空气阻力所做的功等于 ( )
A.mgh-mv2-m
B.-mv2-m-mgh
C.mgh+m-mv2
D.m-mv2-mgh
【答案】分析:对砖块从抛出到平台过程中运用动能定理,在此过程中有重力做功和阻力做功.
解答:解:根据动能定理得,.则在该过程中克服空气阻力做功为.故D正确,A、B、C错误.
故选D.
点评:解决本题的关键熟练运用动能定理,在运用动能定理解题时,要合理地选择研究的过程.
练习册系列答案
相关习题

科目:高中物理 来源: 题型:

(2010?崇明县一模)建筑工地上,某建筑工人甲从地面向上抛出一质量为m的砖块,被离地面高为h的平台上的乙接住.已知抛出时的速度为v0,当它被乙接住时的速度为v,用g表示重力加速度,则在此过程中砖块克服空气阻力所做的功等于 (  )

查看答案和解析>>

科目:高中物理 来源: 题型:

精英家教网如图所示,某一建筑工地上,工人利用绕过定滑轮的绳子牵拉质量为m的建筑材料,设绳子的拉力大小恒为F(F<mg),建筑材料在水平地面上从A点起由静止开始做直线运动,先后经过B、C两点的动能分别为EKB、EKC,材料从A点至B点和从B点至C点的过程中拉力F做的功分别为W1、W2,已知AB=BC,绳子质量以及绳子与滑轮间的摩擦不计,则下列关系一定正确的是(  )
A、W1<W2B、W1>W2C、EKB<EKCD、EKB>EKC

查看答案和解析>>

科目:高中物理 来源: 题型:

如图所示,某一建筑工地上,工人利用绕过定滑轮的绳子牵拉质量为m的建筑材料,设绳子的拉力大小恒为FF<mg),建筑材料在水平地面上从A点起由静止开始做直线运动,先后经过BC两点的动能分别为EKBEKc,材料从A点至B点和从B点至C点的过程中拉力F做的功分别为W1W2,已知AB=BC,绳子质量以及绳子与滑轮间的摩擦不计,则下列关系一定正确的是  (   )

   A.W1<W2         B.Wl>W2

   C.EKB<EKC        D.EKB>EKC

查看答案和解析>>

科目:高中物理 来源:同步题 题型:不定项选择

一台先进的升降机被安装在某建筑工地上,升降机的运动情况由电脑控制,一次竖直向上运送重物时,电脑屏幕上显示出重物运动的v-t图线如图所示,则由图线可知

[     ]

A.重物先向上运动后向下运动
B.重物的加速度先增大后减小
C.重物的速度先增大后减小
D.重物的位移先增大后减小

查看答案和解析>>

同步练习册答案