精英家教网 > 高中物理 > 题目详情

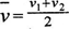
如图所示是物体在某段直线运动过程中的v-t图象,则物体由tl到t2运动的过程中

A.合外力不断增大      B.加速度不断减小

C.位移不断减小       D.平均速度

 

【答案】

B

【解析】

试题分析:据题意,从图像可知物体向正方向做加速度减小的减速运动,则B选项正确,物体的位移应增大则C选项错误;由于加速度减小,则据牛顿第二定律可知合力减小,故A选项错误;当物体做匀减速直线运动则平均速度为,但现在物体做非匀减速直线运动,据可知非匀减速直线运动在相同时间内位移小,平均速度也小,则在t1-t2时间内物体的平均速度小于,故D选项错误。

考点:本题考查对速度-时间图像的理解。

 

练习册系列答案
相关习题

科目:高中物理 来源: 题型:

如图所示是物体在某段运动过程中的v-t图象,在t1和t2时刻的瞬时速度分别为v1和v2,则时间由t1到t2的过程中,下列说法正确的是(  )

查看答案和解析>>

科目:高中物理 来源: 题型:

如图所示是物体在某段直线运动过程中的v-t图象,在t1和t2时刻的瞬时速度分别为v1和v2,则时间由t1到t2的过程中(  )

查看答案和解析>>

科目:高中物理 来源: 题型:

(2009?嘉定区一模)如图所示是物体在某段运动过程中的 v-t图象,在t1和t2 时刻的瞬时速度分别为v1和v2,则在t 1到 t 2 的时间内,物体运动的加速度是
减小
减小
(选填“不变”、“增大”或“减小”)的,它的平均速度v
小于
小于
(v1+v2)/2(选填“等于”、“大于”或“小于”)

查看答案和解析>>

科目:高中物理 来源: 题型:

(2011?湛江二模)如图所示是物体在某段作直线运动过程中的v-t图象,在tl和t2时刻的瞬时速度分别为vl和v2,则物体由tl到t2运动的过程中(  )

查看答案和解析>>

科目:高中物理 来源: 题型:

精英家教网如图所示是物体在某段运动过程中的v-t图象,在t1和t2时刻的瞬时速度分别为v1和v2,则时间由t1到t2的过程中(  )

查看答案和解析>>

同步练习册答案