精英家教网 > 高中物理 > 题目详情
如图所示,在直角坐标系的第一、二象限内有垂直于纸面方向的匀强磁场,第三象限有沿y轴负方向的匀强电场,第四象限内无电场和磁场.质量为m、电荷量为-q(q>0)的粒子从M点以速度v沿x轴负方向进入电场,不计粒子的重力,粒子经x轴上的N点和P点又回到M点.OM=OP=L,ON=2L,求:
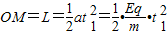
(1)电场强度E的大小;
(2)粒子经过P点时速度大小vP
(3)粒子从M点进入电场,经N、P点最后又回到M点所用的总时间.
【答案】分析:(1)带电粒子在电场中做类平抛运动,根据平抛运动的基本规律即可求解;
(2)由动能定理求出进入磁场的速度,根据几何关系求解粒子在磁场中的轨道半径,再根据半径公式求解磁场;
(3)总时间为分类平抛运动时间和在磁场中的运动时间,PM的匀速直线运动时间,三者时间之和即为所求时间.
解答:解:(1)粒子在电场中作类平抛运动.-x方向:ON=2L=vt1 
y方向:

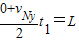
(2)粒子在电场中运动由M运动到N:vNXt1=2L   
粒子在磁场中做匀速圆周运动,∴
(3)设粒子在电场中的运动时间t1.则
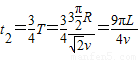
设粒子在磁场中的轨道半径为R,由几何关系可知在磁场中完成了个圆周运动,
其圆周半径
设粒子在磁场中运动时间为t2,则
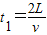
粒子在第四象限做匀速运动,设运动时间为t3.则
答:(1)电场强度E的大小为
(2)粒子经过P点时速度大小vP
(3)粒子从M点进入电场,经N、P点最后又回到M点所用的总时间为L.
点评:本题是带电粒子在组合场中运动的问题,要求同学们能正确分析粒子的受力情况确定运动情况,结合几何关系以及半径公式、周期公式求解,难度适中.
练习册系列答案
相关习题

科目:高中物理 来源: 题型:

精英家教网如图所示,在直角坐标平面的第I象限内有一匀强磁场区域,磁感应强度为B,直线OA是磁场右侧的边界.在第Ⅱ象限区域,存在电场强度大小为E的水平向左的匀强电场,y轴是电场、磁场区域的分界线曲线,OM满足方程x=-ky2(k>0).有一带电荷量为q、质量为m的负粒子(重力不计)在曲线OM上某一点由静止释放,穿越y轴进入磁场中.
(1)求带电粒子穿越y轴时的速度与释放点纵坐标的关系式;
(2)若粒子从OM上任何位置释放,要求粒子穿过磁场区域后,都垂直于x轴射出求直线OA与x轴的夹角正切值tanθ(用题中已知物理量的符号表示)

查看答案和解析>>

科目:高中物理 来源: 题型:

(2013?怀化二模)如图所示,在直角坐标xOy平面y轴左侧(含y轴)有一沿y轴负向的匀强电场,一质量为m,电量为q的带正电粒子从x轴上P处以速度ν0沿x轴正向进入电场,从y轴上Q点离开电场时速度变为2ν0,Q点坐标为(0,-d),在y轴右侧有一与坐标平面垂直的矩形匀强磁场区域(图中未画出,粒子过Q点继续运动一段距离后才进入磁场区域),磁场磁感应强度大小B=
mv0qd
,粒子能从坐标为(0,d)的M点沿x轴负向再进入电场.不计粒子重力.
(1)求粒子进入磁场时速度方向与y轴负向的夹角θ和电场强度E的大小;
(2)绘出粒子P-M运动的轨迹图,求粒子进入磁场至M点的运动时间;
(3)求矩形匀强磁场区域的最小面积.

查看答案和解析>>

科目:高中物理 来源: 题型:

精英家教网如图所示,在直角坐标xOy平面y轴左侧(含y轴)有一沿y轴负向的匀强电场,一质量为m,电量为q的带正电粒子从x轴上P处以速度v0沿x轴正向进入电场,从y轴上Q点离开电场时速度方向与y轴负向夹角θ=30°,Q点坐标为(0,-d),在y轴右侧有一与坐标平面垂直的有界匀强磁场区域(图中未画出),磁场磁感应强度大小B=
mv0qd
,粒子能从坐标原点O沿x轴负向再进入电场.不计粒子重力,求:
(1)电场强度大小E;
(2)如果有界匀强磁场区域为半圆形,求磁场区域的最小面积;
(3)粒子从P点运动到O点的总时间.

查看答案和解析>>

科目:高中物理 来源: 题型:

如图所示,在直角坐标xoy的第一象限中分布着指向-y轴方向的匀强电场,在第四象限中分布着垂直纸面向里方向的匀强磁场,一个质量为m、带电+q的粒子(不计重力)在A点(0,3)以初速V0=120m/s平行x轴射入电场区域,然后从电场区域进入磁场,又从磁场进入电场,并且只通过x轴上的P点(6,0)和Q点(8,0)各一次,已知该粒子的荷质比为q/m=108c/kg.

 (1)画出带电粒子在电场和磁场中的运动轨迹.

(2)求磁感强度B的大小.

 

查看答案和解析>>

科目:高中物理 来源:2014届陕西西安长安区第一中学高三上第二次检测物理试卷(解析版) 题型:计算题

(20分)如图所示,在直角坐标xOy平面y轴左侧(含y轴)有一沿y轴负向的匀强电场,一质量为m,电量为q的带正电粒子从x轴上P处以速度沿x轴正向进入电场,从y轴上Q点离开电场时速度方向与y轴负向夹角,Q点坐标为(0,-d),在y轴右侧有一与坐标平面垂直的有界匀强磁场区域(图中未画出),磁场磁感应强度大小,粒子能从坐标原点O沿x轴负向再进入电场.不计粒子重力,求:

(1)电场强度大小E;

(2)如果有界匀强磁场区域为半圆形,求磁场区域的最小面积;

(3)粒子从P点运动到O点的总时间.

 

查看答案和解析>>

同步练习册答案