ÈçͼËùʾ£¬ÓÉ´Öϸ¾ùÔȵĵç×èË¿ÈÆ³ÉµÄ¾ØÐε¼Ïß¿òabcd¹Ì¶¨ÓÚË®Æ½ÃæÉÏ£¬µ¼Ïß¿ò±ß³¤£½L£¬£½2 L£¬Õû¸öÏß¿ò´¦ÓÚÊúÖ±·½ÏòµÄÔÈÇ¿´Å³¡ÖУ¬´Å³¡µÄ´Å¸ÐӦǿ¶ÈΪB£¬µ¼Ïß¿òÉϸ÷¶Îµ¼Ïߵĵç×èÓëÆä³¤¶È³ÉÕý±È£¬ÒÑÖª¸ÃÖÖµç×èË¿µ¥Î»³¤¶ÈÉϵĵç×èΪ¦Ë£¬¦ËµÄµ¥Î»ÊǦ¸/m£®½ñÔÚµ¼Ïß¿òÉÏ·ÅÖÃÒ»¸öÓëab±ßƽÐÐÇÒÓëµ¼Ïß¿ò½Ó´¥Á¼ºÃµÄ½ðÊô°ôMN£¬MNµÄµç×èΪr£¬Æä²ÄÁÏÓëµ¼Ïß¿òµÄ²ÄÁϲ»Í¬£®½ðÊô°ôMNÔÚÍâÁ¦×÷ÓÃÏÂÑØxÖáÕý·½Ïò×öËÙ¶ÈΪvµÄÔÈËÙÔ˶¯£¬ÔÚ½ðÊô°ô´Óµ¼Ïß¿ò×î×ó¶Ë(¸Ã´¦x£½0)Ô˶¯µ½µ¼Ïß¿ò×îÓҶ˵Ĺý³ÌÖУº

(1)Çëд³ö½ðÊô°ôÖеĸÐÓ¦µçÁ÷IËæx±ä»¯µÄº¯Êý¹ØÏµÊ½£»

(2)ÊÔÖ¤Ã÷µ±½ðÊô°ôÔ˶¯µ½bc¶ÎÖеãʱ£¬MNÁ½µã¼äµçѹ×î´ó£¬²¢Çëд³ö×î´óµçѹUmµÄ±í´ïʽ£»

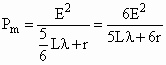
(3)ÊÔÇó³öÔڴ˹ý³ÌÖУ¬½ðÊô°ôÌṩµÄ×î´óµç¹¦ÂÊPm£»

(4)ÊÔÌÖÂÛÔڴ˹ý³ÌÖУ¬µ¼Ïß¿òÉÏÏûºÄµÄµç¹¦ÂÊ¿ÉÄܵı仯Çé¿ö£®

´ð°¸£º
½âÎö£º

¡¡¡¡(1)E£½BLv£¬

¡¡¡¡(2)M¡¢NÁ½µã¼äµçѹ£¬µ±Íâµç·µç×è×î´óʱ£¬UÓÐ×î´óÖµUm£®

¡¡¡¡ÒòΪÍâµç·µç×裬µ±L£«2x£½5 L£­2x£¬¼´x£½Lʱ£¬RÓÐ×î´óÖµ£¬ËùÒÔx£½Lʱ£¬¼´½ðÊô°ôÔÚbcÖеãʱM¡¢NÁ½µã¼äµçѹÓÐ×î´óÖµ£¬¼´£®

¡¡¡¡(3)

¡¡¡¡(4)Íâµç·µç×裬£®

¡¡¡¡µ±r£¼£¬¼´r£¼Ê±£¬µ¼Ïß¿òÉÏÏûºÄµÄµç¹¦ÂÊÏȱäС£¬ºó±ä´ó£»µ±Rmin£¼r£¼Rmax£¬¼´£¼r£¼Ê±£¬µ¼Ïß¿òÉÏÏûºÄµÄµç¹¦ÂÊÏȱä´ó£¬ºó±äС£¬ÔÙ±ä´ó£¬ÔÙ±äС£»µ±r£¾Rmax£¬¼´r£¾Ê±£¬µ¼Ïß¿òÉÏÏûºÄµÄµç¹¦ÂÊÏȱä´ó£¬ºó±äС£®


Á·Ï°²áϵÁдð°¸
Ïà¹ØÏ°Ìâ

¿ÆÄ¿£º¸ßÖÐÎïÀí À´Ô´£º ÌâÐÍ£º

£¨2005?¬ÍåÇøÄ£Ä⣩ÈçͼËùʾ£¬ÓÉ´Öϸ¾ùÔȵĵç×èË¿ÈÆ³ÉµÄ¾ØÐε¼Ïß¿òabcd¹Ì¶¨ÓÚË®Æ½ÃæÉÏ£¬µ¼Ïß¿ò±ß³¤ab=L£¬bc=2L£¬Õû¸öÏß¿ò´¦ÓÚÊúÖ±·½ÏòµÄÔÈÇ¿´Å³¡ÖУ¬´Å³¡µÄ´Å¸ÐÇ¿¶ÈΪB£®µ¼Ïß¿òÉϸ÷¶Îµ¼Ïߵĵç×èÓëÆä³¤¶È³ÉÕý±È£¬ÒÑÖª¸ÃÖÖµç×èË¿µ¥Î»³¤¶ÈÉϵĵç×èΪ¦Ë£¬¦ËµÄµ¥Î»ÊǦ¸/m£®½ñÔÚµ¼Ïß¿òÉϸéÖÃÒ»¸öÓëab±ßƽÐеØÇÒÓëµ¼Ïß¿ò½Ó´¥Á¼ºÃµÄ½ðÊô°ôMN£¬MNµÄµç×èΪr£¬Æä²ÄÁÏÓëµ¼Ïß¿òµÄ²ÄÁϲ»Í¬£¬ÈçͼËùʾ£®½ðÊô°ôMNÔÚÍâÁ¦×÷ÓÃÏÂÑØxÖáÕý·½Ïò×÷ËÙ¶ÈΪvµÄÔÈËÙÔ˶¯£¬ÔÚ½ðÊô°ô´Óµ¼Ïß¿ò×î×ó¶Ë£¨¸Ã´¦x=0£©Ô˶¯µ½µ¼Ïß¿ò×îÓҶ˵Ĺý³ÌÖУº
£¨1£©Çëд³ö½ðÊô°ôÖеĸÐÓ¦µçÁ÷IËæx±ä»¯µÄº¯Êý¹ØÏµÊ½£»
£¨2£©ÊÔÖ¤Ã÷µ±½ðÊô°ôÔ˶¯µ½bc¶ÎÖеãʱ£¬MNÁ½µã¼äµçѹ×î´ó£¬²¢Çëд³ö×î´óµçѹUmµÄ±í´ïʽ£»
£¨3£©ÊÔÇó³öÔڴ˹ý³ÌÖУ¬½ðÊô°ôÌṩµÄ×î´óµç¹¦ÂÊPm£»
£¨4£©ÊÔÌÖÂÛÔڴ˹ý³ÌÖУ¬µ¼Ïß¿òÉÏÏûºÄµÄµç¹¦ÂÊ¿ÉÄܵı仯Çé¿ö£®

²é¿´´ð°¸ºÍ½âÎö>>

¿ÆÄ¿£º¸ßÖÐÎïÀí À´Ô´£º ÌâÐÍ£º

ÈçͼËùʾ£¬ÓÉ´Öϸ¾ùÔȵĵç×èË¿ÖÆ³ÉµÄ±ß³¤ÎªLµÄÕý·½ÐÎÏß¿òabcd£¬Æä×ܵç×èΪR£®ÏÖʹÏß¿òÒÔˮƽÏòÓÒµÄËÙ¶ÈvÔÈËÙ´©¹ýÒ»¿í¶ÈΪ2L¡¢´Å¸ÐӦǿ¶ÈΪBµÄÔÈÇ¿´Å³¡ÇøÓò£¬Õû¸ö¹ý³ÌÖÐab¡¢cdÁ½±ßʼÖÕ±£³ÖÓë´Å³¡±ß½çƽÐУ®ÁîÏß¿òµÄcd±ß¸ÕºÃÓë´Å³¡×ó±ß½çÖØºÏʱ¿ªÊ¼¼ÆÊ±£¨t=0£©£¬µçÁ÷ÑØabcdaÁ÷¶¯µÄ·½ÏòΪÕý£¬Uo=BLv£®ÔÚÏÂͼÖÐÏß¿òÖÐa¡¢bÁ½µã¼äµçÊÆ²îUabËæÏß¿òcd±ßµÄÎ»ÒÆx±ä»¯µÄͼÏóÕýÈ·µÄÊÇͼ6Öе썡¡¡¡£©

²é¿´´ð°¸ºÍ½âÎö>>

¿ÆÄ¿£º¸ßÖÐÎïÀí À´Ô´£º ÌâÐÍ£º

¾«Ó¢¼Ò½ÌÍøÈçͼËùʾ£¬ÓÉ´Öϸ¾ùÔÈ¡¢Í¬ÖÖ½ðÊôµ¼Ïß¹¹³ÉµÄ³¤·½ÐÎÏß¿òabcd·ÅÔڹ⻬µÄˮƽ×ÀÃæÉÏ£¬Ïß¿ò±ß³¤·Ö±ðΪLºÍ2L£¬ÆäÖÐab¶ÎµÄµç×èΪR£®ÔÚ¿í¶ÈΪ2LµÄÇøÓòÄÚ´æÔÚ×ŴŸÐӦǿ¶ÈΪBµÄÔÈÇ¿´Å³¡£¬´Å³¡µÄ·½ÏòÊúÖ±ÏòÏ£®Ïß¿òÔÚˮƽÀ­Á¦µÄ×÷ÓÃÏÂÒԺ㶨µÄËÙÂÊvͨ¹ýÔÈÇ¿´Å³¡ÇøÓò£¬Ïß¿òÆ½ÃæÊ¼ÖÕÓë´Å³¡·½Ïò´¹Ö±£®Çó£º
£¨1£©ÔÚÏß¿òµÄcd±ß¸Õ½øÈë´Å³¡Ê±£¬ab±ßÁ½¶ËµÄµçѹUab£»
£¨2£©ÎªÎ¬³ÖÏß¿òÔÈËÙÔ˶¯£¬Ë®Æ½À­Á¦FµÄ´óС£»
£¨3£©ÔÚÏß¿òͨ¹ý´Å³¡µÄÕû¸ö¹ý³ÌÖУ¬bc±ß½ðÊôµ¼ÏßÉϲúÉúµÄµçÈÈQbc£®

²é¿´´ð°¸ºÍ½âÎö>>

¿ÆÄ¿£º¸ßÖÐÎïÀí À´Ô´£º2012-2013ѧÄêºÚÁú½­¹þ¶û±õµÚÁùÖÐѧ¸ß¶þÏÂѧÆÚÆÚÖп¼ÊÔÎïÀíÊÔ¾í£¨´ø½âÎö£© ÌâÐÍ£ºµ¥Ñ¡Ìâ

ÈçͼËùʾ£¬ÓÉ´Öϸ¾ùÔȵĵç×èË¿ÖÆ³ÉµÄ±ß³¤ÎªlµÄÕý·½ÐÎÏß¿òabcd£¬Æä×ܵç×èΪR£¬ÏÖʹÏß¿òÒÔˮƽÏòÓÒµÄËÙ¶ÈvÔÈËÙ´©¹ýÒ»¿í¶ÈΪ2l¡¢´Å¸ÐӦǿ¶ÈΪBµÄÔÈÇ¿´Å³¡ÇøÓò£¬Õû¸ö¹ý³ÌÖÐab¡¢cdÁ½±ßʼÖÕ±£³ÖÓë´Å³¡±ß½çƽÐС£ÁîÏß¿òµÄcd±ß¸ÕºÃÓë´Å³¡×ó±ß½çÖØºÏʱt=0£¬µçÁ÷ÑØabcdaÁ÷¶¯µÄ·½ÏòΪÕý£¬u0=Blv¡£Ïß¿òÖÐa¡¢bÁ½µã¼äµçÊÆ²îuabËæÏß¿òcd±ßµÄÎ»ÒÆx±ä»¯µÄͼÏóÕýÈ·µÄÊÇ£¨      £©

²é¿´´ð°¸ºÍ½âÎö>>

¿ÆÄ¿£º¸ßÖÐÎïÀí À´Ô´£º2014½ìºÚÁú½­¹þ¶û±õµÚÁùÖÐѧ¸ß¶þÏÂѧÆÚÆÚÖп¼ÊÔÎïÀíÊÔ¾í£¨½âÎö°æ£© ÌâÐÍ£ºÑ¡ÔñÌâ

ÈçͼËùʾ£¬ÓÉ´Öϸ¾ùÔȵĵç×èË¿ÖÆ³ÉµÄ±ß³¤ÎªlµÄÕý·½ÐÎÏß¿òabcd£¬Æä×ܵç×èΪR£¬ÏÖʹÏß¿òÒÔˮƽÏòÓÒµÄËÙ¶ÈvÔÈËÙ´©¹ýÒ»¿í¶ÈΪ2l¡¢´Å¸ÐӦǿ¶ÈΪBµÄÔÈÇ¿´Å³¡ÇøÓò£¬Õû¸ö¹ý³ÌÖÐab¡¢cdÁ½±ßʼÖÕ±£³ÖÓë´Å³¡±ß½çƽÐС£ÁîÏß¿òµÄcd±ß¸ÕºÃÓë´Å³¡×ó±ß½çÖØºÏʱt=0£¬µçÁ÷ÑØabcdaÁ÷¶¯µÄ·½ÏòΪÕý£¬u0=Blv¡£Ïß¿òÖÐa¡¢bÁ½µã¼äµçÊÆ²îuabËæÏß¿òcd±ßµÄÎ»ÒÆx±ä»¯µÄͼÏóÕýÈ·µÄÊÇ£¨      £©

 

²é¿´´ð°¸ºÍ½âÎö>>

ͬ²½Á·Ï°²á´ð°¸