若双曲线的一个焦点是(0.4).则等于 . 查看更多

 

题目列表(包括答案和解析)

若双曲线的一个焦点是(0,4),则k等于

[    ]

查看答案和解析>>

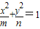
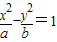
若双曲线(a>0,b>0)和椭圆(m>n>0)有共同的焦点F1,F2.P是两条曲线的一个交点,则|PF1|2+|PF2|2=( )
A.2(m2+a2
B.2(m+a)
C.4(a+b)
D.4(m-n)

查看答案和解析>>

已知双曲线数学公式满足条件:(1)焦点为F1(-5,0),F2(5,0);(2)离心率为数学公式,求得双曲线C的方程为f(x,y)=0.若去掉条件(2),另加一个条件求得双曲线C的方程仍为f(x,y)=0,则下列四个条件中,符合添加的条件可以是
①双曲线数学公式上的任意点P都满足||PF1|-|PF2||=6;
②双曲线数学公式的渐近线方程为4x±3y=0;
③双曲线数学公式的焦距为10;
④双曲线数学公式的焦点到渐近线的距离为4.


  1. A.
    ①③
  2. B.
    ②③
  3. C.
    ①④
  4. D.
    ①②④

查看答案和解析>>

若F是双曲线
x2
4
-
y2
3
=1
的一个焦点,P1、P2、P3、P4是双曲线上同一支上任意4个不同的点,且
FP1
+
FP2
+
FP3
+
FP4
=
0
,则|
FP1
|+|
FP2
|+|
FP3
|+
|FP4
|
=
6
6

查看答案和解析>>

若F是双曲线
x2
4
-
y2
3
=1
的一个焦点,P1、P2、P3、P4是双曲线上同一支上任意4个不同的点,且
FP1
+
FP2
+
FP3
+
FP4
=
0
,则|
FP1
|+|
FP2
|+|
FP3
|+
|FP4
|
=______.

查看答案和解析>>


同步练习册答案