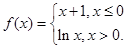
5.已知函数 则 A.4 B.3 C.2 D. 查看更多

 

题目列表(包括答案和解析)

已知函数则函数的零点个数(    )

A.2         B.3          C.4        D.5

 

查看答案和解析>>

已知函数,则函数的零点个数为

A.1                B.2                C.3                D.4

 

查看答案和解析>>

已知函数,则上的零点个数为  (      )

A.1个        B.2个     C.3个      D.4个

 

查看答案和解析>>

已知函数 则函数的零点个数为(     )

A.1                B.2                C.3                D.4

 

查看答案和解析>>

已知函数 则函数的零点个数为   (    )

A.1       B.2         C.3          D.4

 

查看答案和解析>>


同步练习册答案