7.已知数列的首项..则数列的通项公式为 查看更多

 

题目列表(包括答案和解析)

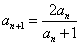
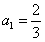
已知数列的首项(n=1,2,3,…),则数列的通项公式为(    )。

查看答案和解析>>

已知数列的首项为,则数列的通项公式为     

 

查看答案和解析>>

已知数列,首项a 1 =3且2a n+1="S"  n?S n-1 (n≥2).
(1)求证:{}是等差数列,并求公差;
(2)求{a n }的通项公式;
(3)数列{an }中是否存在自然数k0,使得当自然数k≥k 0时使不等式a k>a k+1对任意大于等于k的自然数都成立,若存在求出最小的k值,否则请说明理由.

查看答案和解析>>

19.已知数列,首项a 1 =3且2a n+1=S n ?S n-1 (n≥2).

   (1)求证:{}是等差数列,并求公差;

   (2)求{a n }的通项公式;

   (3)数列{an }中是否存在自然数k0,使得当自然数k≥k 0时使不等式a k>a k+1对任意大于等于k的自然数都成立,若存在求出最小的k值,否则请说明理由.

查看答案和解析>>

已知数列,首项a 1 =3且2a n+1="S"  n?S n-1 (n≥2).
(1)求证:{}是等差数列,并求公差;
(2)求{a n }的通项公式;
(3)数列{an }中是否存在自然数k0,使得当自然数k≥k 0时使不等式a k>a k+1对任意大于等于k的自然数都成立,若存在求出最小的k值,否则请说明理由.

查看答案和解析>>


同步练习册答案