6.已知方程=1表示焦点在x轴上的椭圆.则m的取值范围是 ( ) A.m>2或m<-1 B.m>-2 C.-1<m<2 D.m>2或-2<m<-1 查看更多

 

题目列表(包括答案和解析)

已知方程=1表示焦点在x轴上的椭圆,则k的取值范围是

[    ]

查看答案和解析>>

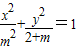
已知方程表示焦点在x轴上的椭圆,则m的取值范围是( )
A.m>2或m<-1
B.m>-2
C.-1<m<2
D.m>2或-2<m<-1

查看答案和解析>>

已知方程表示焦点在x轴上的椭圆,则k的取值范围是( )
A.k<1或k>3
B.1<k<3
C.k>1
D.k<3

查看答案和解析>>

已知方程表示焦点在x轴上的椭圆,则m的取值范围是( )
A.m>2或m<-1
B.m>-2
C.-1<m<2
D.m>2或-2<m<-1

查看答案和解析>>

已知方程表示焦点在x轴上的椭圆,则m的取值范围是( )
A.m>2或m<-1
B.m>-2
C.-1<m<2
D.m>2或-2<m<-1

查看答案和解析>>


同步练习册答案