当x<0时.化简= . 查看更多

 

题目列表(包括答案和解析)

<0时,化简的结果是(    )。

A.-1B.1 C.D.-

查看答案和解析>>

<0时,化简的结果是(     )。

A、-1           B、1           C、           D、-

 

查看答案和解析>>

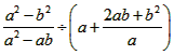
先化简:,当b=-1时,再从-2<a<2的范围内选取一个合适的整数a代入求值。

查看答案和解析>>

<0时,化简的结果是(    )。
A.-1B.1 C.D.-

查看答案和解析>>

x0时,化简=________

 

查看答案和解析>>


同步练习册答案