画出下列函数的图象 (1), (2), (3)定义域为.值域为的一个函数 . 查看更多

 

题目列表(包括答案和解析)

设函数

(Ⅰ)请在下列直角坐标系中画出函数f(x)的图象;

(Ⅱ)根据(Ⅰ)的图象,试分别写出关于x的方程f(x)=t有2,3,4个实数解时,相应的实数t的取值范围;

(Ⅲ)记函数g(x)的定义域为D,若存在x0∈D,使g(x0)=x0成立,则称点(x0,x0)为函数g(x)图象上的不动点.试问,函数f(x)图象上是否存在不动点,若存在,求出不动点的坐标,若不存在,请说明理由.

查看答案和解析>>

(本小题满分12分)

设函数

(Ⅰ)请在下列直角坐标系中画出函数的图象;

(Ⅱ)根据(Ⅰ)的图象,试分别写出关于的方程有2,3,4个实数解时,相应的实数的取值范围;

(Ⅲ)记函数的定义域为,若存在,使成立,则称点为函数图象上的不动点.试问,函数图象上是否存在不动点,若存在,求出不动点的坐标,若不存在,请说明理由.

 

查看答案和解析>>

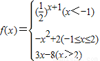
设函数f(x)=
(
1
2
)x+1(x<-1)
-x2+2(-1≤x≤2)
3x-8(x>2)

(Ⅰ)请在下列直角坐标系中画出函数f(x)的图象;
(Ⅱ)根据(Ⅰ)的图象,试分别写出关于x的方程f(x)=t有2,3,4个实数解时,相应的实数t的取值范围;
(Ⅲ)记函数g(x)的定义域为D,若存在x0∈D,使g(x0)=x0成立,则称点(x0,x0)为函数g(x)图象上的不动点.试问,函数f(x)图象上是否存在不动点,若存在,求出不动点的坐标,若不存在,请说明理由.

查看答案和解析>>

设函数数学公式
(Ⅰ)请在下列直角坐标系中画出函数f(x)的图象;
(Ⅱ)根据(Ⅰ)的图象,试分别写出关于x的方程f(x)=t有2,3,4个实数解时,相应的实数t的取值范围;
(Ⅲ)记函数g(x)的定义域为D,若存在x0∈D,使g(x0)=x0成立,则称点(x0,x0)为函数g(x)图象上的不动点.试问,函数f(x)图象上是否存在不动点,若存在,求出不动点的坐标,若不存在,请说明理由.

查看答案和解析>>

设函数
(Ⅰ)请在下列直角坐标系中画出函数f(x)的图象;
(Ⅱ)根据(Ⅰ)的图象,试分别写出关于x的方程f(x)=t有2,3,4个实数解时,相应的实数t的取值范围;
(Ⅲ)记函数g(x)的定义域为D,若存在x∈D,使g(x)=x成立,则称点(x,x)为函数g(x)图象上的不动点.试问,函数f(x)图象上是否存在不动点,若存在,求出不动点的坐标,若不存在,请说明理由.

查看答案和解析>>


同步练习册答案