题目列表(包括答案和解析)
. |
| AC |
| 2 |
| 3 |
| 3 |
| 4 |
. |
| AC |
| 8 |
| 11 |
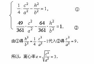
如图,已知梯形ABCD中|AB|=2|CD|,点E分有向线段
所成的比为
,双曲线过C、D、E三点,且以A、B为焦点.求双曲线的离心率.
22.如图,已知梯形ABCD中|AB|=2|CD|,点E满足
,双曲线过C、D、E三点,且以A、B为焦点,求双曲线离心率.
![]()
湖北省互联网违法和不良信息举报平台 | 网上有害信息举报专区 | 电信诈骗举报专区 | 涉历史虚无主义有害信息举报专区 | 涉企侵权举报专区
违法和不良信息举报电话:027-86699610 举报邮箱:58377363@163.com