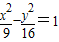
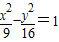
10.P为双曲线上一点.F1.F2为焦点.若∠F1PF2=60°.那么△F1PF2的面积是 . 查看更多

 

题目列表(包括答案和解析)

点P为双曲线上一点,F1,F2为它的左、右两个焦点,PQ是∠F1PF2的角分线.过F1作PQ的垂线,垂足为R,点O为坐标原点,则|OR|=   

查看答案和解析>>

点P为双曲线数学公式上一点,F1,F2为它的左、右两个焦点,PQ是∠F1PF2的角分线.过F1作PQ的垂线,垂足为R,点O为坐标原点,则|OR|=________.

查看答案和解析>>

已知P为双曲线上一点,F1,F2为该双曲线的左、右焦点,若,则△F1PF2的面积为   

查看答案和解析>>

已知P为双曲线上一点,F1,F2为该双曲线的左、右焦点,若,则△F1PF2的面积为   

查看答案和解析>>

P是双曲线上一点,双曲线的一条渐近线为3x-2y=0,F1,F2分别是左、右焦点,若|PF1|=5,则P到双曲线右准线的距离是   

查看答案和解析>>


同步练习册答案