方程表示焦点在y轴上的双曲线,则实数k的取值范围是 查看更多

 

题目列表(包括答案和解析)

方程表示焦点在y轴上的双曲线,则角在第       _____象限。

 

查看答案和解析>>

方程表示焦点在y轴上的双曲线,则角在第      _____象限。

查看答案和解析>>

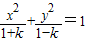
方程表示焦点在y轴上的双曲线,则实数k的取值范围是   

查看答案和解析>>

方程表示焦点在y轴上的双曲线,则角在第      _____象限。

查看答案和解析>>

方程表示焦点在y轴上的双曲线,则角α是

[  ]

           

A.第一象限角

  

B.第二象限角

  

C.第三象限角

  

D.第四象限角

  

查看答案和解析>>


同步练习册答案