精英家教网 > 高中数学 > 题目详情
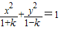
方程表示焦点在y轴上的双曲线,则实数k的取值范围是   
【答案】分析:由于方程表示焦点在y轴上的双曲线故1+k<0且1-K>0所以K<-1
解答:解:∵方程表示焦点在y轴上的双曲线

∴k<-1
故答案为k<-1
点评:此题考查了双曲线焦点的归属问题.解决此类问题只需理解y2的系数为正x2的系数为负则焦点就在Y轴上反之就在X轴上就可以了.
练习册系列答案
相关习题

科目:高中数学 来源: 题型:

(陕西卷理) (7).“”是“方程表示焦点在y轴上的椭圆”的        (    )   

(A)充分而不必要条件                      (B)必要而不充分条件

(C)充要条件                           (D) 既不充分也不必要条件

查看答案和解析>>

科目:高中数学 来源:2014届辽宁省高二上学期期中考试文科数学试卷(解析版) 题型:选择题

已知方程 表示焦点在y轴上的椭圆,则k的取值范围是(   )

A.6<k<9            B.k>3              C.k>9              D.k<3

 

查看答案和解析>>

科目:高中数学 来源:2012-2013学年江西南昌高三第二次模拟突破冲刺理科数学试卷(解析版) 题型:选择题

”是“方程表示焦点在y轴上的椭圆”的

A.充分而不必要条件                      B.必要而不充分条件

C.充要条件                             D.既不充分也不必要条件

 

查看答案和解析>>

科目:高中数学 来源:2012年人教A版高中数学选修1-1 2.1椭圆练习卷(解析版) 题型:选择题

方程表示焦点在y轴上的椭圆,则k的取值范围是  (    )

A.            B.(0,2)        C.(1,+∞)      D.(0,1)

 

查看答案和解析>>

科目:高中数学 来源:浙江省临海市2009-2010学年度高二下学期第一次月考数学试题 题型:填空题

若方程表示焦点在y轴上的椭圆,则m的取值范围为         

 

查看答案和解析>>

同步练习册答案