题目列表(包括答案和解析)

 0  121080  121088  121094  121098  121104  121106  121110  121116  121118  121124  121130  121134  121136  121140  121146  121148  121154  121158  121160  121164  121166  121170  121172  121174  121175  121176  121178  121179  121180  121182  121184  121188  121190  121194  121196  121200  121206  121208  121214  121218  121220  121224  121230  121236  121238  121244  121248  121250  121256  121260  121266  121274  447348 

     石油被称为“国民经济的血液”,它既是重要的战略资源和能源,也是十分重要的化工原料。

37.(5分)近些近来,我国的石油进口量逐渐增加,分析图6和图7并结合已有知识回答以下问题:

(1)2002年我国石油进口量约为1993年的         倍。

(2)简要说明近10年我国能源消费结构的变化。

(3)我国工业制造企业能源消耗偏高是我国石油进口增加的原因之一。运用所学经济常识说明我国工业制造企业降低能源消耗偏高的对策。

试题详情

31、(21分)

已知牛的有角和无角为一对相对性状,由常染色体上的等位基因A与a控制。在自由放养多年的一群牛中(无角的基因频率与有角的基因频率相等),随机选出 1 头无角公牛和6头有角母牛,分别交配,每头母牛只产了 l 头小牛。在 6 头小牛中,3 头有角,3 头无角。

(1)根据上述结果能否确定这对相对性状中的显性性状?请简要说明推断过程。

(2)为了确定有角和无角这对相对性状的显隐性关系,用上述自由放养的牛群(假设无突变发生)为实验材料,再进行新的杂交实验,应该怎样进行?(简要写出杂交组合、预期结果并得出结论)

试题详情

30、 ( 21 分)

为了验证胰岛素具有降低血糖的作用,以小鼠活动状况为观察指标设计实脸。某同学的实验方案如下:

①将正常小鼠随机分成A、B两组,现察并记录其活动状况。

②A组小鼠注射适量胰岛素溶液,B组注射等量生理盐水。一段时间后,A组小鼠会出现四肢无力,活动减少,甚至昏迷等低血糖症状,B组活动状况无变化。

③A组小鼠出现低血糖症状后.分别给A、B 两组小鼠注射等量葡萄糖溶液。一段时间后, A组小鼠低血糖症状缓解,B组活动状况无变化。

该实验方案可以说明胰岛素具有降低血糖的作用。

请回答:

(1)该实验原理是:___________________________________

(2)分析小鼠注射胰岛素溶液后出现低血糖症状的原因:____________________________

(3)胰岛素在血糖平衡调节中的作用是:________________________________________

试题详情

29、(15 分)

苏丹红一号(sudan I )是一种偶氮染料,不能作为食品添加剂使用的。它是由苯胺和 2 –萘酚为主要原料制备的,它们的结构简式如下所示:

(1)苏丹红一号的化学式(分子式)为__________________

 (2)在下面化合物(A)~(D)中,与2 –萘酚互为同分异构体的有(填字母代号)_________

(3)上述化合物(C)含有的官能团是________________________________

(4)在适当的条件下,2 –萘酚经反应可得到芳香化合物E(C8H6O4), 1molE 与适量的碳酸氢钠溶液反应可放出二氧化碳44.8L(标准状况),E与溴在有催化剂存在时反应只能生成两种一溴取代物,两种一溴取代物的结构简式分别是___________________________,E与碳酸氢钠反应的化学方程式是________________________________________________

(5)若将E与足量乙醇在浓硫酸作用下加热,可以生成一个化学式(分子式)为C12H14O4的新化合物,该反应的化学方程式是__________________________反应类型是_____。

试题详情

28、(15 分)

己知某纯碱试样中含有NaCl杂质,为测定试样中纯碱的质量分数,可用下图中的装置进行实验。

主要实验步骤如下:

 ① 按图组装仪器,并检查装置的气密性

 ② 将 ag 试样放人锥形瓶中,加适量蒸馏水溶解,得到试样溶液

③ 称量盛有碱石灰的U型管的质量,得到bg

④ 从分液漏斗滴人6mol/L的硫酸.直到不再产生气体时为止

 ⑤ 从导管A处缓缓鼓人一定量的空气

 ⑥ 再次称量盛有碱石灰的U型管的质量,得到cg

 ⑦ 重复步骤⑤ 和 ⑥ 的操作,直到U型管的质量基本不变,为dg

请填空和回答问题:

(l)在用托盘天平称量样品时,如果天平的指针向左偏转,说明________________

(2)装置中干燥管B的作用是________________________________

(3)如果将分液漏斗中的硫酸换成浓度相同的盐酸,测试的结果_____(填偏高、偏低或不变)

(4)步骤⑤的目的是____________(5)步骤⑦的目的是____________

(6)该试样中纯碱的质量分数的计算式为__________________________

(7)还可以用其它方法测定试样中纯碱的质量分数。请简述一种不同的实验方法。

试题详情

27、(15分)

甲、乙、丙、丁为前三周期元素形成的微粒,它们的电子总数相等。已知甲、乙、丙为双原子分子或负二价双原子阴离子,丁为原子。

(1)丙与钙离子组成的离子化合物跟水反应产生一种可燃性气体,反应的化学方程式是_______________________________。

(2)乙在高温时是一种还原剂,请用化学方程式表示它在工业上的一种重要用途:____________________________________

(3)在一定条件下,甲与O2反应的化学方程式是___________________________

(4)丁的元素符号是________,它的原子结构示意图为_____________

(5)丁的氧化物的晶体结构与_______________的晶体结构相似。

试题详情

26、(15分)

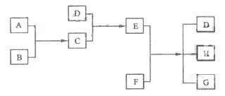
已知A 、B 、C 、D 为气休, E、F为固体,G是氯化钙,它们之间转换关系如下图所示:

(1)D的化学式(分子式)是___________,E的化学式(分子式)是_____________。

(2)A 和B反应生成C的化学方程式是__________________________

(3)E 和F反应生成D、H、G的化学方程式是__________________________________

试题详情

25、(20 分)

图1中B为电源,电动势E=27V,内阻不计。固定电阻R1=500Ω,R2为光敏电阻。C为平行板电容器,虚线到两极板距离相等,极板长,两极板的间距d=1.0×10-2m。S为屏,与极板垂直,到极板的距离l2=0.16m。 P 为一圆盘,由形状相同、透光率不同的三个扇形a、b和c构成,它可绕从AA’轴转动。当细光束通过扇形a、b、c照射光敏电阻R2时,R2的阻值分别为1000Ω、2000Ω、4500Ω。有一细电子束沿图中虚线以速度V0=8.0 ×106m/s连续不断地射人C。已知电子电量e=1.6×10-19C,电子质量m=9×10-31Kg。忽略细光束的宽度、电容器的充电放电时间及电子所受的重力。假设照在R2上的光强发生变化时R2的阻值立即有相应的改变。

(1)设圆盘不转动,细光束通过b照射到R2上,求电子到达屏S上时,它离O点的距离y。(计算保留两位有效数字)

(2)设转盘按图1中箭头方向匀速转动.每3 秒转一圈。取光束照在a、b分界处时t=0,试在图2给出的坐标纸上,画出电子到达屏S上时,它离O点的距离 y 随时间t的变化图线(0~6 s间)。要求在y轴上标出图线最高点与最低点的值。(不要求写出计算过程,只按画出的图线评分。)

试题详情

24、(19 分)

如图.质量为m1的物体 A 经一轻质弹簧与下方地面上的质量为m2的物体B相连,弹簧的劲度系数为k, A 、B都处于静止状态。一条不伸长的轻绳绕过轻滑轮,一端连物体A,另一端连一轻挂钩。开始时各段绳都处于伸直状态。A上方的一段绳沿竖直方向。现在挂钩上挂一质量为m3的物体C并从静止状态释放,已知它恰好能使B离开地面但不继续上升。若将C换成另-个质量为(m1+m3)的物体 D,仍从上述初始位置由静止状态释放,则这次B 离地时D的速度大小是多少?已知重力加速度为g。

试题详情

23、(16 分)

原地起跳时,先屈腿下蹲,然后突然蹬地。从开始蹬地到离地是加速过程(视为匀加速),加速过程中重心上升的距离称为“加速距离”。离地后重心继续上升,在此过程中重心上升的最大距离称为“竖直高度”。

现有下列数据:人原地上跳的‘加速距离”d1=0.50m., h1=1.0m ;跳骚原地上跳的“加速距离”d2=0.00080m.,“竖直高度”h2=0.10m 。假想人具有与跳骚相等的起跳加速度,而“加速距离”仍为0.50m,则人上跳的“竖直高度”是多少?

试题详情


同步练习册答案