题目列表(包括答案和解析)

 0  121262  121270  121276  121280  121286  121288  121292  121298  121300  121306  121312  121316  121318  121322  121328  121330  121336  121340  121342  121346  121348  121352  121354  121356  121357  121358  121360  121361  121362  121364  121366  121370  121372  121376  121378  121382  121388  121390  121396  121400  121402  121406  121412  121418  121420  121426  121430  121432  121438  121442  121448  121456  447348 

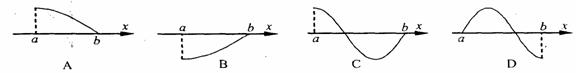
19. 一列周期为T的正弦横波沿x轴正方向传播,ab为x轴上的两个质点,其间距小于一个波长,某时刻质点a恰好通过平衡位置向上运动,质点b振动到x轴上方的最高点。则从此刻起,再经T/4时,ab间的波形为(   )

试题详情

18. 如图所示,摆球带负电的单摆在水平方向的匀强磁场(足够大)中摆动,下列选项中,不满足“摆球每次经过平衡位置时都相同”这一条件的物理量有:(  )

A、摆球受到的磁场力    B、悬线对摆球的拉力

C、摆球的动能       D、摆球的动量

试题详情

17. 下列说法正确的是(   )

A.热量不能由低温物体传递到高温物体

B.外界对物体做功,物体的内能必定增加

C.任何热机都可能使燃料释放的热量完全转化为机械能

D.不可能从单一热源吸收热量并把它全部用来做功,而不引起其它变化

试题详情

16.我们在推导第一宇宙速度时,需要作一些假设。下列假设中正确的是(  )

A. 卫星绕地球做匀速圆周运动   B. 卫星的运转周期等于地球自转的周期

C. 卫星的轨道半径等于地球半径  D. 卫星需要的向心力等于地球对它的万有引力

试题详情

15. 单色光在真空中的传播速度是c,波长为λ0,在水中的传播速度是v,波长为λ,水对这种单色光的折射率为n。当这束单色光从空气斜射入水中时,入射角为θ1,折射角为θ2,下列说法中正确的是(   )

A.v=          B.   

C.v=cn   λ=λ0        D.    

试题详情

14. 北京奥委会接受专家的建议,大量采用对环境有益的新技术,如2008年奥运会场馆周围80%~90%的路灯将利用太阳能发电技术,奥运会90%的洗浴热水将采用全玻璃真空太阳能聚热技术。太阳能是由于太阳内部高温高压条件下的聚变反应产生的,下列核反应属于聚变反应的是(   )

  A.                   B.

  C.          D.

试题详情

13.若以ω1和ω2分别表示浓度为a mol/L和b mol/L氨水的质量分数,且知2a=b,则下列推断正确的是(氨水的密度比纯水的小)( )

 A.2ω1  = ω2 B.2ω2  = ω1   C.ω2  > 2ω1  D.ω1  < ω2  < 2ω1

试题详情

12.在一定条件下,RO3n 和氟气可发生如下反应: RO3n + F2 + 2OH = RO4 + 2F + H2O从而可知在RO3n 中,元素R的化合价是( )

 A.+4     B.+5     C.+6    D.+7

试题详情

11.在100mL混合溶液中,HNO3和H2SO4物质的量浓度分别为0.4mol/L和0.1mol/L,向该溶液中加入1.92g铜粉,加热,待充分反应后,所得溶液中Cu2+物质的量浓度(mol/L)为

 A.0.15   B.0.225     C.0.35   D.0.45

试题详情

10.下列事实不能用勒夏特列原理解释的是

 A.氨水应密闭保存,放置于低温处

 B.在硫酸亚铁溶液中,加入铁粉以防止氧化变质

 C.生产硝酸的过程中使用过量空气以提高氨气的利用率

 D.实验室常用排饱和食盐水的方法收集氯气

试题详情


同步练习册答案