题目列表(包括答案和解析)

 0  121549  121557  121563  121567  121573  121575  121579  121585  121587  121593  121599  121603  121605  121609  121615  121617  121623  121627  121629  121633  121635  121639  121641  121643  121644  121645  121647  121648  121649  121651  121653  121657  121659  121663  121665  121669  121675  121677  121683  121687  121689  121693  121699  121705  121707  121713  121717  121719  121725  121729  121735  121743  447348 

16.如图所示,高压输电线的输送电压为220kV,输送功率为1.1×105kW,甲、乙是两只互感器,若已知它们的原、副线圈匝数之比分别为n1n2=1000︰1,n3n4=1︰100,则下列说法中正确的是

   A.交流电压表的示数为220 V

   B.交流电压表的示数为2200 V

   C.交流电流表的示数为5 A                                    

   D.交流电流表的示数为0.5 A

试题详情

15.某同学采用如图所示的装置来研究光电效应现象.当用某单色光照射光电管的阴极K时,会发生光电效应现象.闭合开关S,在阳极A和阴极K之间加上反向电压,通过调节滑动变阻器的滑片逐渐增大电压,直至电流计中电流恰好为零,此时电压表电压值U称为反向截止电压.现分别用频率为v1v2的单色光照射阴极,测量到反向截止电压分别为U1U2,设电子质量为m,电荷量为e,普朗克常数为h,则下列关系式中不正确的是

A.频率为v1的光照射时,光电子的最大初速度vm

   B.阴极K金属的逸出功Wh v2e U2                         

   C.阴极K金属的极限频率v0

   D.普朗克常数h

试题详情

14.一个重核受到一个中子轰击时,发生了核反应,分裂成了钡()和氪()及三个中

子,则该重核在受到中子轰击之前(核反应之前)具有中子的个数是

   A.235       B.92        C.143        D.141

试题详情

890.3KJ/mol、2 800kJ/mol,则下列热化学方程式正确的是

A.C(s)+O2(g) CO(g);  △H=-393.5Kg/mol

   B.2H2 (g)+O2 (g) 2H2O(g);  H=+571.6kJ/mol

   C.CH4(g)+2O2 (g) CO2 (g)+2H2O(g);  H=-890.3kJ/mol

   D.C6H12O6(s)+3O2 (g) 3CO2 (g)+3H2O(l);  H=-1400kJ/mol

试题详情

13.25℃、101kPa下,碳、氢气、甲烷和葡萄糖的燃烧热依次是393.5kJ/mol、285.8kJ/mol、

试题详情

12.设NA代表阿伏加德罗常数,下列说法正确的是

   A.在常温常压下,11.2L甲烷中含有的氢原子数为2NA

   B.标准状况下,19.2g SO2中含有氧原子数为0.3NA

   C.常温下,1L0.1mol·L-1的AlCl3溶液中所含Al3+的数目为0.1NA

   D.1mol甲基(一CH3)中所含电子数为9NA

试题详情

11.我国首创的海洋电池是以铝板为负极,铂网为正极,海水为电解质溶液,空气中的氧气与铝反应产生电流。电池总反应为:

   4Al+3O2+6H2O4A1(OH)3,下列说法不正确的是

   A.正极反应为:O2+2H2O+4e4OH

   B.电池工作时,电流由铝电极沿导线流向铂电极

   C.以网状的铂为正极,可增大与氧气的接触面积

   D.该电池通常只需要更换铝板就可继续使用

试题详情

10.在密闭容器中进行反应2SO2(g)+O2 (g) 2SO3(g);H<O;下图是某次实验的化学反应速率随时间变化的图形,推断在t1时刻突然变化的条件可能是

   A.减小容器的体积,增大压强

   B.使用催化剂                                 

   C.升高体系的温度

D.增大生成物浓度,减小反应物浓度

试题详情

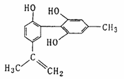
9.我国支持“人文奥运”的一个重要体现是:坚决反对运动员服用兴奋剂。兴奋剂的结构简式如图所示,有关该物质的说法正确的是

  A.遇FeCl3溶液显紫色,因为该物质与苯酚属于同系物

  B.滴入KMnO4(H+)溶液,观察紫色褪去,能证明结

构中存在碳碳双键

  C.1mol该物质分别与浓溴水和H2反应时最多消耗

Br2和H2分别为4mol、7mol

  D.该物质能发生银镜反应

试题详情

8.常温下,有物质的量浓度、体积都相同的NaA(PH=8)和NaB(pH=12)溶液,下列说法不正确的是

  A.NaB溶液比NaA溶液更能促进水的电离

  B.将两溶液混合,混合溶液中:c(OH)>5×10-3mol/L

  C.NaA溶液中:c (Na+)-c (A)=10-6mol/L

  D.NaB溶液中:c (H+)+c(HB)=10-2mol/L

试题详情


同步练习册答案