题目列表(包括答案和解析)

 0  121903  121911  121917  121921  121927  121929  121933  121939  121941  121947  121953  121957  121959  121963  121969  121971  121977  121981  121983  121987  121989  121993  121995  121997  121998  121999  122001  122002  122003  122005  122007  122011  122013  122017  122019  122023  122029  122031  122037  122041  122043  122047  122053  122059  122061  122067  122071  122073  122079  122083  122089  122097  447348 

37.蓝藻与细菌虽然都属于原核生物,但是,二者有明显区别。下列说法不正确的是

A.蓝藻进行光合作用       B.蓝藻是自养生物 

C.大肠杆菌是腐生类异养生物  D.大肠杆菌进行寄生生活

试题详情

35.在以稀硫酸为电解质溶液的铜--锌原电池中,已知其电极反应分别为

 锌片:Zn-2e    Zn2+;铜片:2H+ +2e   H2↑。下列判断正确的是 

   A.溶液的酸性逐渐增强      B.铜片逐渐溶解

   C.溶液中H+向锌片作定向移动   D.锌片是负极并被氧化

2,4,6
 
36.已知下列元素的原子半径为

原子种类
N
S
O
Si
原子半径(nm)
0.075
0.102
0.074
0.117

   根据以上书库。磷原子的半径可能是              

   A.0.100 nm       B.0.110 nm       C.0.080 nm        D.0.070 nm

试题详情

34.下列关于试剂用途的说法中,正确的一组是          

①明矾:河水絮凝剂       ②生石灰:潮湿氨气的干燥剂

③MnO2:KclO3受热分解制氧气的催化剂④Cl2:自来水的消毒剂

⑤浓H2SO4:实验室制Cl2的氧化剂 ⑥品红试剂:酸碱指示剂

   A.①③④⑤   B.②④⑤⑥   C.③④⑤⑥   D.①②③④

试题详情

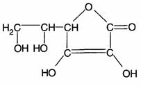
33.维生素C可防止新鲜苹果汁中的亚铁离子在空气中

  变质,其结构式如右图。下列关于维生素C的说法

中,错误的是             (   )

   A.化学式:C6H8O6

   B.化学键:共价键和离子键

  C.溶解性:易溶于水

   D.还原性:比Fe2+

试题详情

32.一定条件下,发生反应:2NaClO3 + I2   2NaIO3 + Cl2,下列判断中,正确的是

    A.NaClO3中含有共价键            B.I2在此反应中作氧化剂

    C.NaIO3中I元素的化合价为+6价  D.NaClO3属于氧化物

试题详情

31.在密闭容器中加入一定量的NH3,在一定条件下发生可逆反应

N2 + 3H2    2NH3下列说法正确的是

    A.达到化学平衡时,N2、H2、NH3三种气体在密闭容器中共存

    B.达到化学平衡时生成H2的速率等于生成NH3的速率

    C.升高温度正反应的速率增大,逆反应的速率减小

   D.加催化剂可使更多的NH3分解

试题详情

30.我国西气东输工程可大大缓解东部能源的短缺,同时也有利于加快西部经济开发。下列关于天然气的叙述中,正确的是

   A.当燃气灶从燃烧液化石油气改为天然气时,应增加进入空气的量

   B.天然气、沼气和“瓦斯”的主要成分都是CH4

    C.燃烧天然气比较清洁,产生的有害废气比燃烧氢气少

   D.用天然气作燃料可解决全球性温室效应问题

试题详情

29.下列试剂在实验室长期存放会发生变质的是          

  ①乙酸  ②氯水  ③生石灰  ④液溴  ⑤汽油  ⑥浓H2SO4  ⑦FeSO4溶液

    A.①⑤⑦    B.②③⑥    C.②③⑦    D.②④⑦

试题详情

28.2004年诺贝尔化学奖授予以色列和美国科学家,以表彰他们发现了泛素调节蛋白质。下列关于蛋白质的组成与性质的叙述中,正确的是

   A.蛋白质由C、H、O元素组成

   B.蛋白质水解的最终产物为多肽

   C.蛋白质溶液是胶体

   D.将蛋白质溶液加热聚沉,冷却后再加清水可恢复到原蛋白质溶液

试题详情

27.某些疾病与相应营养物质的缺乏有关,正确的一组是      

①维生素C:败血病           ②铁元素:贫血症  

③钙元素:骨质疏松          ④葡萄糖:低血糖   

⑤碘元素:高血压           ⑥油脂:夜盲症

   A.①⑥             B.①②③④  

   C.①③④⑤           D.①②③④⑤

试题详情


同步练习册答案