题目列表(包括答案和解析)

 0  122314  122322  122328  122332  122338  122340  122344  122350  122352  122358  122364  122368  122370  122374  122380  122382  122388  122392  122394  122398  122400  122404  122406  122408  122409  122410  122412  122413  122414  122416  122418  122422  122424  122428  122430  122434  122440  122442  122448  122452  122454  122458  122464  122470  122472  122478  122482  122484  122490  122494  122500  122508  447348 

26.硅及其化合物在材料领域中应用广泛。下列叙述中,正确的是

   A.晶体硅是良好的半导体材料     B.硅是地壳中含量最多的元素

   C.SiO2不溶于水,也不溶于任何酸 D.用带磨口玻璃瓶塞的试剂瓶盛放NaOH溶液

试题详情

25.下列反应的离子方程式中,正确的是

A.碳酸氢钠溶液和氢氧化钠溶液混合:HCO+OH= CO+H2O

B.醋酸溶液和碳酸氢钠溶液混合:H+十HCO=H2O+CO2

C.三氯化铁溶液中加入铁粉:Fe3++Fe = 2Fe2+

   D.硫酸铜溶液和氢氧化钡溶液混合:SO+Ba= BaSO4

试题详情

24.除去下列物质中的杂质(括号内为杂质),所选用的试剂及操作方法不能达到目的的是

选项
待提纯的物质
选用的试剂
操作方法
A
CaCI2(CaCO3)

溶解、过滤、结晶
B
CU(Fe)
稀盐酸
溶解、过滤、洗涤、干燥
C
CUSO4(H2SO4)
氢氧化钠溶液
过滤
D
CO(CO2)
氢氧化钠溶液
通入洗气瓶

试题详情

23.下列结论正确的是

A.原子半径:H>Li>Na>K          B.氢化物稳定性:HF>HCI>H2S>H2O

C.酸性:H3PO4>H2SO4>HClO4            D.非金属性:F>CI>S>P

试题详情

22.下列反应中,气体反应物只作还原剂的是

A.NO与HNO3反应生成N2O3和H2O         B.NO2与水反应

C.CO2通入水中              D.Cl2与H2O反应

试题详情

21.下列化学变化不能一步实现的是

A.Na   Na2O      B.Al   AI(OH)3   C.N2   NO   D.SO2   SO3

试题详情

20.下列原子序数所对应的元素组中,两者可形成离子键的是

A.1和17      B.12和17      C.14和6      D.15和8

试题详情

19.为迎接08北京奥运会的举行,北京大力开展“蓝天计划”行动,实施了一系列举措 其中能够直接减少SO2排放的最有效的措施是

A.建立三北防护林,减少沙尘的污染    B.提高汽车尾气的排放标准

C.减少燃煤的使用            D.使用天然气、液化石油气等清洁能源

试题详情

18.某同学做“测定电源电动势E和内电阻r”实验时,得到的电路路端 电压U与电流I的关系图象如图所示,由E= U+Ir和图象可知

A.E = 2.0V     B.E = 3.0V

C.r =1.5n      D.r = 0.5  

试题详情

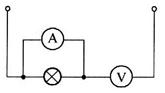
17.用伏安法测灯泡电阻时,若将电流表和电压表的位置接成如图所示电路,可能出现的情况是

   A.电流表烧坏   

   B.电压表示数为零

   C.灯泡不亮    

   D.灯泡烧坏

试题详情


同步练习册答案