题目列表(包括答案和解析)

 0  124357  124365  124371  124375  124381  124383  124387  124393  124395  124401  124407  124411  124413  124417  124423  124425  124431  124435  124437  124441  124443  124447  124449  124451  124452  124453  124455  124456  124457  124459  124461  124465  124467  124471  124473  124477  124483  124485  124491  124495  124497  124501  124507  124513  124515  124521  124525  124527  124533  124537  124543  124551  447348 

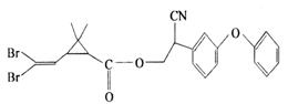
18.拟除虫菊酯是一类高效、低毒、对昆虫具有强烈触杀作用的杀虫剂,其中对光稳定的溴氰菊酯的结构简式如图,下列对该化合物叙述正确的是(   )

A.属于芳香烃

B.属于卤代烃

C.在酸性条件下不能水解

D.在一定条件下可以发生加成反应

试题详情

17.某烯烃与H2加成后的产物是, 则该烯烃的结构式可能有(  )A.1种     B.2种       C.3种        D.4种

试题详情

16.下列过程属于化学变化的是 ( )

A.蒸馏     B.裂化    C.萃取    D.重结晶

试题详情

15. A、B两种烃,它们的碳的质量分数相同,下列关于A和B的叙述正确的是(   )

A.A和B一定是同分异构体      B.A和B不可能是同系物

C.A和B最简式一定相同       D.A和B的化学性质相似

试题详情

14.下列化合物属于苯的同系物的是(   )

      

试题详情

13.用于制造隐形飞机物质具有吸收微波的功能,

其主要成分的结构如图,它属于(   )

A.无机物       B.烃

C.高分子化合物    D.有机物

试题详情

12.下列分子式表示的物质,具有同分异构体的是(   )

A. C3H7Cl    B. C3H8    C. CH2Cl2    D. CH3OH

试题详情

11. 下列醇类能发生消去和氧化反应的是(   )

A. CH3OH         B.  

 CH3                        CH3

C.CH3-C-CH2OH      D.CH3-C-CH3

CH3                         OH

试题详情

10. 下列有机物中,不属于烃的衍生物的是(   )

A. CH3--Cl    B. CH3CH2NO2

C. CH2==CHBr    D.

试题详情

9. 下列有机物的命名正确的是(   )

A. 3,3-二甲基丁烷   B. 2,2-二甲基丁烷

C. 2-乙基丁烷     D. 2,3,3-三甲基丁烷

试题详情


同步练习册答案