题目列表(包括答案和解析)

 0  124310  124318  124324  124328  124334  124336  124340  124346  124348  124354  124360  124364  124366  124370  124376  124378  124384  124388  124390  124394  124396  124400  124402  124404  124405  124406  124408  124409  124410  124412  124414  124418  124420  124424  124426  124430  124436  124438  124444  124448  124450  124454  124460  124466  124468  124474  124478  124480  124486  124490  124496  124504  447348 

13、已知:      互为同分异构体,则化学式为C3H5Cl的链状的同

分异构体共有                                                                ( )

    A、3种                B、4种               C、5种               D、6种

试题详情

12、据报道,2002年10月26日,俄罗斯特种部队在解救人质时,除使用了非致命武器芬太奴外,还使用了一种麻醉作用比吗啡强100倍的氟烷,若氟烷的化学式为C2HClBrF3,则沸点不同的上述氟烷有            ( )

    A、1种                B、2种               C、3种               D、4种

 

试题详情

11、C6H14的各种同分异构体中,整个分子所含甲基数和它的一氯取代物的数目下列相符的是                   ( )

     A、2个甲基,可能生成4种一氯代物      B、3个甲基,可能生成5种一氯代物

     C、3个甲基,可能生成3种一氯代物      D、4个甲基,可能生成4种一氯代物

试题详情

10、下图为元素周期表前四周期的一部分,且X、Y、Z、R和W均为主族元素。下列说法正确的是                                      ( )

 
X
 
 
Y
Z
R
 
 
 
 
W

    A、五种元素的原子最外层电子数一定大于2

    B、五种元素一定都是非金属元素

    C、R的最高价氧化物对应的水化物一定是强酸

    D、Y的氧化物一定具有两性

试题详情

9、相对分子质量为84,通过加氢反应可在分子中引入两个-CH2-原子团的不饱和烃有                   ( )

  A、2种               B、3种               C、4种               D、5种

试题详情

8、科学家最近在-100℃的低温下合成一种烃X,此分子的模型如下图(图中的连线表示化学键),下列说法正确的是                                             ( )

     A、X分子中在同一平面上的碳原子最多5个

     B、X能使溴的四氯化碳溶液褪色

     C、X是一种在常温下能稳定存在的液态烃

     D、充分燃烧等质量的X和甲烷,X消耗氧气多

试题详情

7、分子式为CnHm的有机物以Ni为催化剂与足量H2反应生

成CnHm+x气态有机物。若取不同比例的CnHm和H2

的混合物,体积共为60mL,混合气体的比例和反应

后气体体积如下图所示(相同条件下测定气体体积),

则CnHm+x中x的值是   ( )

     A、1                 B、2                 C、3

     D、4

试题详情

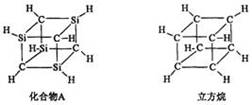
6、已知化合物A(C4Si4H8)与立方烷(C8H8)的分子结构相似,如下图:

 则C4Si4H8的二氯代物的同分异构体数目为                                   ( )

     A、3                 B、4                 C、5                 D、6

试题详情

5、已知C-C键可以绕键轴旋转,结构简式为    的烃,下列说法正确的是

                                                                                 ( )

    A、分子中至少有8个碳原子处于同一平面上

    B、分子中至少有9个碳原子处于同一平面上

    C、该烃的一氯取代物最多有4种           D、该烃是苯的同系物

试题详情

4、氨分子中氢原子被氨基(-NH2)取代后的生成物叫肼(H-N-N-H),肼分子中氢原子被烃基取代后的产物叫肼的衍生物,分子式为C2H8N2的同分异构体中属于肼的衍生物共有                            ( )

    A、2种                B、3种               C、4种               D、5种

 

试题详情


同步练习册答案