题目列表(包括答案和解析)

 0  137792  137800  137806  137810  137816  137818  137822  137828  137830  137836  137842  137846  137848  137852  137858  137860  137866  137870  137872  137876  137878  137882  137884  137886  137887  137888  137890  137891  137892  137894  137896  137900  137902  137906  137908  137912  137918  137920  137926  137930  137932  137936  137942  137948  137950  137956  137960  137962  137968  137972  137978  137986  447348 

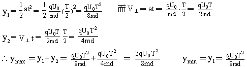
26、两平行金属板相距为d,加上如图23-1(b)所示的方波形电压,电压的最大值为U0,周期为T。现有一离子束,其中每个离子的质量为m,电量为q,从与两板等距处沿着与板平行的方向连续地射入两板间的电场中。设离子通过平行板所需的时间恰为 T(与电压变化周期相同),且所有离子都能通过两板间的空间打在右端的荧光屏上。试求:离子击中荧光屏上的位置的范围。(也就是与O‘点的最大距离与最小距离)。重力忽略不计。

分析与解:

各个离子在电场中运动时,其水平分运动都是匀速直线运动,而经过电场所需时间都是T,但不同的离子进入电场的时刻不同,由于两极间电压变化,因此它们的侧向位移也会不同。

当离子在t=0,T,2T……时刻进入电场时,两板间在时间内有电压U0,因而侧向做匀加速运动,其侧向位移为y1,速度为V。接着,在下一个时间内,两板间没有电压,离子以V速度作匀速直线运动,侧向位移为y2,如图23-2所示。这些离子在离开电场时,侧向位移有最大值,即(y1+y2)。

当离子在T=……时刻进入电场时,两板间电压为零,离子在水平方向做匀速直线运动,没有侧向位移,经过时间后,两板间有电压U0,再经过时间,有了侧向位移y1,如图23-3所示。这些离子离开电场时有侧向位移的最小值,即y1

当离子在上述两种特殊时刻之外进入电场的,其侧向位移值一定在(y1+y2)与y1之间。根据上述分析就可以求出侧向位移的最大值和最小值。

所以,离子击中荧光屏上的位置范围为:

 

试题详情

25、如图22-1所示,A、B为平行金属板,两板相距为d,分别与电源两极相连,两板的中央各有小孔M、N。今有一带电质点,自A板上方相距为d的P点由静止自由下落(P、M、N三点在同一竖直线上),空气阻力不计,到达N点时速度恰好为零,然后按原路径返回。若保持两板间的电压不变,则:

A.    若把A板向上平移一小段距离,质点自P点下落仍能返回。

B.     若把B板向下平移一小段距离,质点自P点下落仍能返回。

C.     若把A板向上平移一小段距离,质点自P点下落后将穿过N孔继续下落。

D.    若把B板向下平移一小段距离,质点自P点下落后将穿过N孔继续下落。

分析与解:当开关S一直闭合时,A、B两板间的电压保持不变,当带电质点从M向N运动时,要克服电场力做功,W=qUAB,由题设条件知:带电质点由P到N的运动过程中,重力做的功与质点克服电场力做的功相等,即:mg2d=qUAB

若把A板向上平移一小段距离,因UAB保持不变,上述等式仍成立,故沿原路返回,应选A。

若把B板下移一小段距离,因UAB保持不变,质点克服电场力做功不变,而重力做功增加,所以它将一直下落,应选D。

由上述分析可知:选项A和D是正确的。

想一想:在上题中若断开开关S后,再移动金属板,则问题又如何?(选A、B)。

试题详情

12. T=mg(3-)

试题详情

11. M=

试题详情

10.  8N

 

试题详情

9. (1) (2)

试题详情

8.    

试题详情

7. g/4    3g/4πGR

试题详情

1.D 2.D 3.D 4A 5C 6B

试题详情

12.(10分)如图1-4-9所示,在方向水平的匀强电场中,一不可伸长的不导电细线的一端连着一个质量为m的带电小球,另一端固定于O点.把小球拉起直至细线与场强平行,然后无初速释放.已知小球摆到最低点的另一侧,线与竖直方向的最大夹角为θ.求小球经过最低点时细线对小球的拉力.

高三物理周周练

--《圆周运动与万有引力》答案

试题详情


同步练习册答案