题目列表(包括答案和解析)

 0  158170  158178  158184  158188  158194  158196  158200  158206  158208  158214  158220  158224  158226  158230  158236  158238  158244  158248  158250  158254  158256  158260  158262  158264  158265  158266  158268  158269  158270  158272  158274  158278  158280  158284  158286  158290  158296  158298  158304  158308  158310  158314  158320  158326  158328  158334  158338  158340  158346  158350  158356  158364  447348 

12、一根绳子受200 N的拉力就会被拉断.如果两人沿反方向同时拉绳,每个人用力________N时绳子就会被拉断.如果将绳子的一端固定,一个人用力拉绳的另一端,则这个人用________N的力时,绳子会被拉断.

试题详情

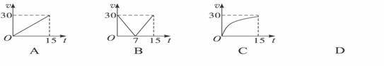
11、做变速直线运动的物体经过15s,其速度图象如图所示,15s内其位移最大的是图_________,回到出发点的图是_________,位移相等的图是_________.

试题详情

10.如图所示,弹簧的劲度系数为k,物体的质量为m,平衡时物体在A位置.今用力F将物体向下拉长x至B位置.则此时弹簧的弹力大小为(   )

A.kx               B.mg+kx

C.mg-kx             D.以上说法都不正确

试题详情

9.汽车甲沿着平直的公路以速度v0做匀速直线运动,当它路过某处的同时,该处有一辆汽车乙开始做初速度为零的匀加速直线运动追赶甲车,根据上述条件,则   (   )

A.可求出乙车从开始启动到追上甲车的时间  B.可求出乙车追上甲车时乙车通过的路程

C.可求出乙车追上甲车时乙车的速度     D.不能求出上述三者中的任何一个

试题详情

8.关于重心的下列叙述中,正确的是(   )

A.物体所受重力的作用点叫重心

B.质量分布均匀、形状规则的物体的重心一定在物体上

C.用线悬挂的物体静止时,悬线方向一定通过物体的重心

D.质量分布不均匀、形状不规则的物体的重心均可用悬挂法确定

试题详情

7.如图所示,木块放在水平地面上,在F=8N的水平拉力作用下向右  

做匀速直线运动,速度为1 m/s.则下列说法中正确的是(   )

A.以1 m/s的速度做匀速直线运动时,木块受到的摩擦力为8 N

B.当木块以2 m/s的速度做匀速直线运动时,木块受到的摩擦力小于8 N

C.当水平拉力F=20 N时,木块受到的摩擦力为20 N

D.将水平拉力F撤去,木块速度越来越小,是因为木块受到的摩擦力越来越大

试题详情

6.某物体沿直线运动的v-t图像如图所示,由图可以看出物体(  )

A.沿直线向一个方向运动

B.沿直线做往复运动 

C.加速度不变      

D.t2时刻离出发点最远

试题详情

5.一辆汽车从车站以初速度为零匀加速直线开去,开出一段时间之后,司机发现一乘客未上车,便紧急刹车做匀减速运动。从启动到停止一共经历t=10 s,前进了15 m,在此过程中,汽车的最大速度为(   )

A.1.5 m/s    B.3 m/s      C.4 m/s    D.无法确定

试题详情

4.竖直升空的火箭,其速度图象如图所示,由图可知(  )

A.火箭上升到最高点所用时间是40s  B.火箭前40s上升,以后下降

C.火箭上升过程中的平均速度是400m/s    D.火箭离地最大的高度是48000m  

试题详情

3.下列描述的运动中,可能存在的是     (   )

A.速度变化很大,加速度却很小     B.加速度方向保持不变,速度方向一定保持不变

C.速度变化方向为正,加速度方向为负  D.加速度大小不断变小,速度大小一定不断变小

试题详情


同步练习册答案