题目列表(包括答案和解析)

 0  158972  158980  158986  158990  158996  158998  159002  159008  159010  159016  159022  159026  159028  159032  159038  159040  159046  159050  159052  159056  159058  159062  159064  159066  159067  159068  159070  159071  159072  159074  159076  159080  159082  159086  159088  159092  159098  159100  159106  159110  159112  159116  159122  159128  159130  159136  159140  159142  159148  159152  159158  159166  447348 

15、(10分)随着现代科学技术的飞速发展,广寒宫中的嫦娥不再寂寞,古老的月球即将留下中华儿女的足迹。航天飞机作为能往返于地球与太空,可以重复使用的太空飞行器,备受人们的喜爱。宇航员现欲乘航天飞机对在距月球表面高处的圆轨道上运行的月球卫星进行维修,维修时航天飞机与卫星在同一轨道上。试求:

(1)维修卫星时航天飞机的速度应为多大?

(2)已知地球自转周期为,则该卫星每天可绕月球转几圈?

(已知月球半径为,月球表面的重力加速度为,计算过程中可不计地球引力的影响,计算结果用等表示)

试题详情

14、(9分)如图所示,在高为的木箱的水平底板上静置着一个质量为的小物块,现用一电动机向上拉木箱,使木箱由静止开始向上运动,且保持电动机的输出功率不变,经时间木箱达到最大速度,若此时让木箱突然停止运动,小物块由于惯性会继续向上运动,且恰好到达木箱的顶端,空气阻力不计,木箱和小物块的总质量为,重力加速度为,求:

(1)木箱的最大速率vm

(2)木箱在时间内上升的高度

试题详情

13、(8分)如图所示,小球以初速v0点沿不光滑的轨道

运动到高为点后自动返回,其返回途中仍经过点,求小球返回时经过点的速度v1大小。

试题详情

12、(8分)在“验证机械能守恒定律”的实验中,打点计时器接在电压为、频率为的交流电源上,从实验打出的几条纸带中选出一条理想纸带,如图所示,选取纸带上打出的连续5个点,测出点与起始点的距离为,点间的距离为,点间的距离为,已知重锤的质量为,当地的重力加速度为,则

(1)从起点O开始到打下C点的过程中,重锤重力势能的减少量为     ,重锤动能的增加量为     。

(2)根据题设条件,还可利用重锤下落求出当地的重力加速度=        ,

经过计算可知,测量值比当地重力加速度的真实值要小,其主要原因是:

                                   。

试题详情

11、(9分)在做研究平抛运动的实验时:

(1)甲同学通过让小球多次沿同一轨道运动,用描点法画出小球的运动轨迹来研究平抛运动。为了能较准确地描绘运动轨迹,你认为甲同学应进行哪些操作(  )

A.通过调节使斜槽末端的切线保持水平

B.每次释放小球的位置必须不同

C.每次让小球由同一位置静止释放

D.记录小球位置用的木条(或凹槽)每次必须严格地等距离下降

E.小球运动时不应与木板上的白纸(或方格纸)相接触

F.将球的位置记录在纸上后,取下纸,用直尺将点连成折线

(2)乙同学用闪光照相的办法拍摄一小球做平抛运动的闪光照片的一部分如右上图所

示,图中背景方格的边长均为5.00cm,闪光的时间间隔是0.10s,如果取10m/s2,则

小球做平抛运动的初速度大小是   m/s;小球经过点时的速度大小是   m/s。

试题详情

10、如图所示,一水平传送带以速度v1向右匀速传动,某时刻有一物块以水平速度v2从右端滑上传送带,物块与传送带间的动摩擦因数为 μ,则 (   )

A.如果物块能从左端离开传送带,它在传送带上运动的时间一定比传送带不转动时运动的时间长

B.如果物块还从右端离开传送带,则整个过程中,传送带对物块所做的总功一定不会为正值

C.如果物块还从右端离开传送带,则物块的速度为零时,传送带上产生的滑痕长度

 达到最长

D.物块在离开传送带之前,一定不会做匀速直线运动

试题详情

9、将月球、地球同步卫星及静止在赤道上的物体三者进行比较,下列说法正确的是(  )

A.三者都只受万有引力的作用,万有引力提供向心力

B.月球绕地运行的向心加速度小于地球同步卫星的向心加速度

C.地球同步卫星与静止在赤道上物体的角速度相同

D.地球同步卫星相对地心的线速度与静止在赤道上物体相对地心的线速度大小相等

试题详情

8、如图所示,小球在竖直放置的光滑圆形管道内做圆周运动,

下列说法中正确的有:(   )    A.小球通过最高点的最小速度为    B.小球通过最高点的最小速度为零    C.小球在水平线以下管道中运动时,外侧管壁对小球一定有作用力    D.小球在水平线以上管道中运动时,内侧管壁对小球一定有作用力

试题详情

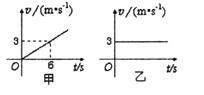
7、一快艇从离岸边100m远的河中由静止开始向岸边行驶,已知快艇相对于静水的速度图象如图甲所示,流水的速度图象如图乙所示,则(  )

A.快艇的运动轨迹一定为直线 

B.快艇的运动轨迹可能为曲线,也可能为直线  

C.快艇最快到达岸边所用的时间为20s  

D.快艇最快到达岸边经过的位移为100m

试题详情

6、科学家推测,太阳系的第十颗行星就在地球的轨道上,从地球上看,它永远在太阳的背面,人类一直未能发现它,可以说它是“隐居”着的地球的“孪生兄弟”,由此根据以上信息可以推测 (  )

A.这颗行星的公转周期与地球相等   B.这颗行星的自转周期与地球相等

C.这颗行星的质量等于地球的质量   D.这颗行星的密度等于地球的密度

试题详情


同步练习册答案