题目列表(包括答案和解析)

 0  158983  158991  158997  159001  159007  159009  159013  159019  159021  159027  159033  159037  159039  159043  159049  159051  159057  159061  159063  159067  159069  159073  159075  159077  159078  159079  159081  159082  159083  159085  159087  159091  159093  159097  159099  159103  159109  159111  159117  159121  159123  159127  159133  159139  159141  159147  159151  159153  159159  159163  159169  159177  447348 

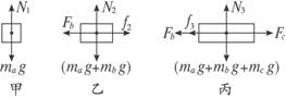
14.如图3-3-12所示,物体a、b和c叠放在水平桌面上,水平力为Fb=5 N、Fc=10 N分别作用于物体b、c上,a、b和c仍保持静止。以f1、f2、f3分别表示a与b、b与c、c与桌面间的静摩擦力,则(   )

图3-3-12

A.f1=5 N,f2=0,f3=5 N              B.f1=5 N,f2=5 N,f3=0

C.f1=0,f2=5 N,f3=5 N              D.f1=0,f2=10 N,f3=5 N

解析:为考查a、b之间的摩擦力情况,以物体a为研究对象,通过受力分析后得:a、b之间没有摩擦力的作用,如图甲所示。

为考查b、c之间的摩擦力情况,以物体a、b组成的整体为研究对象,通过受力分析后得:b受c向右的静摩擦力f2与Fb平衡,如图乙所示。

为考查c与桌面之间的摩擦力情况,以物体a、b、c组成的整体作为研究对象,通过受力分析后得到:c受向左f3=5 N的静摩擦力与(Fc-Fb)平衡,如图丙所示。

综上可得正确选项为C。

答案:C

试题详情

13.如图3-3-11所示,一木板B放在水平面上,木块A放在B的上面,A的右端通过一不可伸长的轻绳,固定在直立墙壁上,用力F向左拉动B,使它以速度v做匀速运动,这时绳的张力为F1。下列说法正确的是(   )

图3-3-11

A.木块B受到的滑动摩擦力大小为F1

B.水平面受到的滑动摩擦力大小为F1

C.木块A受到的滑动摩擦力大小为F1

D.若木块B以速度2v做匀速运动,则应使拉力等于2F

解析:对A、B受力分析如图所示,木块A处于静止状态,它在水平方向上受到向右的拉力F1和B对它向左的滑动摩擦力fBA,据二力平衡得fBA=F1。选项C正确。对B分析,和它接触的有A和地面,都对它有向右的滑动摩擦力,它做匀速运动也是平衡状态,有F=fAB+fB=F1+fB,故A选项不正确。水平面受到的是B对它的摩擦力,fB地=μ(GA+GB)≠F1。故B选项不正确。无论B以怎样的速度匀速运动,它和A之间的滑动摩擦力都不变,因为滑动摩擦力只取决于μ和正压力,与运动速度无关,因此,拉力F也就不变。D选项不正确。

答案:C

试题详情

12.如图3-3-10所示,重力G=20 N的物体放在水平地面上,当物体受到两个水平推力F1=10 N、F2=4 N作用时,仍处于静止状态,求此时的摩擦力。若将F1撤去,摩擦力又如何?

图3-3-10

解析:物体受到两个水平推力作用仍处于静止状态,物体处于平衡状态,则根据平衡条件确定静摩擦力的大小和方向。

答案:6 N 水平向左 4 N 水平向右

我综合 我发展

试题详情

11.物体的重力为200 N,放置在水平桌面上,它与地面间的动摩擦因数是0.38,与地面间的最大静摩擦力是80 N。

(1)用50 N的水平方向力推物体,地面对物体的摩擦力是__________________N。

(2)至少用___________________N的水平力,才能把物体推动。

(3)物体运动起来以后,若使其保持匀速直线运动状态,应在水平方向加_____________N的推力。

(4)物体在运动过程中,若把水平推力增加到80 N,地面对物体的摩擦力为______________N。

(5)此后若把推力减小到50 N,直到静止前,地面对物体的摩擦力为________________N。

(6)若撤去外力,直到静止前,地面对物体的摩擦力为_________________________N。

解析:(1)因为50 N小于最大静摩擦力80 N,物体静止,故摩擦力为50 N。

(2)应用80 N的力才能将物体推动。因为只有推力大于最大静摩擦力,物体才可以从静止开始运动。

(3)物体运动起来后,受滑动摩擦力作用,根据f=μN,N=200 N,得f=0.38× 200 N=76 N,故应加76 N的推力。

(4)物体运动以后,物体受到滑动摩擦力的作用,f=μN,f=0.38×200 N=76 N。

(5)推力减小后,物体减速运动但物体仍受滑动摩擦力的作用,故f=μN,f=0.38×200 N=76 N。

(6)撤去外力后,物体仍向前运动,还是受滑动摩擦力的作用,f=μN,f=0.38×200 N=76 N。

答案:(1) 50 (2) 80(3) 76 (4) 76(5) 76 (6)76

试题详情

10.质量为m的木块在质量为M的长木板上滑行,长木板与水平地面间的动摩擦因数为μ1,木板与木块间的动摩擦因数为μ2,已知长木板处于静止状态,此时水平地面对长木板的摩擦力是____________________;木块受到的摩擦力是____________________。

解析:木块在质量为M的长木板上滑行,其摩擦力为滑动摩擦力,大小为μ2mg,而木板处于静止状态,其摩擦力为静摩擦力,由牛顿第三定律可得木块对木板的力为μ2mg,由二力平衡,水平地面对长木板的摩擦力也是μ2mg。

答案:μ2mg μ2mg

试题详情

9.用力F将一质量为m的物体挤压在竖直墙上,墙是粗糙的,设二者之间的动摩擦因数为μ。若将力F撤掉,物体在下滑过程中,所受摩擦力的大小为___________________。

解析:F撤掉后,物体与墙面只是接触而没有挤压,弹力为零,所以物体受到的摩擦力的大小也为零。

答案:0

试题详情

8.某人推着自行车前进时,地面对前轮的摩擦力为某人推着自行车前进时,地面对前轮的摩擦力为f1,对后轮的摩擦力为f2;当人骑着自行车前进时,地面对前轮的摩擦力为f3,对后轮的摩擦力为f4,下列说法中正确的是(   )

A.f1与车前进方向相同                B.f2与车前进方向相同

C.f3与车前进方向相同                D.f4与车前进方向相同

解析:推着自行车前进时,两车轮都受向后的摩擦力,与运动方向相反;骑车前进时,后轮产生动力,受向前的摩擦力,前轮仍受向后的摩擦力。

答案:D

试题详情

7.(安微合肥模拟)如图3-3-9所示,质量为20 kg 的物体,沿粗糙水平地面以某一速度开始向右运动,一水平向左的力F=10 N作用于物体上,物体与水平地面间的动摩擦因数为0.1,则物体所受的摩擦力的大小为(取g=10 N/kg)(   )

图3-3-9

A.10 N,向右                    B.10 N,向左

C.20 N,向右                    D.20 N,向左

解析:此题不要被施加一个外力所迷惑,物体向右运动,摩擦力的方向就向左,大小等于动摩擦因数与压力的乘积。由f=μN得,f=0.1×20×10 N=20 N。

答案:D

试题详情

6.水平的皮带传送装置如图3-3-8所示,皮带的速度保持不变,物块被轻轻地放在A端皮带上,开始时物块在皮带上滑动,当它到达B位置后停止滑动,随后就随皮带一起匀速运动,直到传送到目的地C端。在传送过程中,该物块受摩擦力的情况是(   )

图3-3-8

A.在AB段受水平向左的滑动摩擦力

B.在AB段受水平向右的滑动摩擦力

C.在BC段不受摩擦力

D.在BC段受水平向右的静摩擦力

解析:根据开始时物块在皮带上滑动,直到它到达位置B,所以在该过程中存在滑动摩擦力,物块相对于传送带向左运动,所以物块在AB段受水平向右的滑动摩擦力;到达B后(由于惯性)随传送带一起匀速运动,根据平衡知识可知,这时物块不受摩擦力作用。

答案:BC

试题详情

5.(经典回放)运动员用双手握住竖直的竹竿匀速攀上和匀速下滑时,他所受的摩擦力分别为f和f,那么它们的关系是(   )

A.f向上、f向下,f=f

B.f向下、f向上,f=f

C.f向上、f向上,f=f

D.f向下、f向上,f>f

解析:此题可根据二力平衡的知识判断,运动员受到的摩擦力等于重力,上攀和下滑摩擦力方向都向上。

答案:C

试题详情


同步练习册答案