题目列表(包括答案和解析)

 0  165066  165074  165080  165084  165090  165092  165096  165102  165104  165110  165116  165120  165122  165126  165132  165134  165140  165144  165146  165150  165152  165156  165158  165160  165161  165162  165164  165165  165166  165168  165170  165174  165176  165180  165182  165186  165192  165194  165200  165204  165206  165210  165216  165222  165224  165230  165234  165236  165242  165246  165252  165260  447348 

18. (10分)如图所示为一列简谐横波在t=0时刻的图象,此时质点P的运动方向沿y轴负方向,且当t=0.55s时质点P恰好第3次到达y轴正方向最大位移处。问:

  (1)该简谐横波的波速v的大小和方向如何?

  (2)从t=0至t=1.2s,质点Q运动的路程L是多少?

  (3)当t=1.2s时,质点Q相对于平衡位置的位移s的大小是多少?

试题详情

17.(10分)一列平面波朝着两种介质的界面传播,A1A2是它在介质Ⅰ中的一个波面,A1C1A2C2是它的两条波线,其入射角为530C1C2位于两种介质的界面上。B1B2是这列波进入介质Ⅱ后的一个波面。已知A1A2的长度是0.6m,介质Ⅰ与介质Ⅱ中的波速之比为4:3,问A1C1B1A2C2B2的长度相差多少?

试题详情

16.(10分)一列波沿+x轴方向传播,当x1=10m的A点位于波峰时,x2=140m的B点位于波谷,在AB之间有6个波峰,振源的振动周期为0.2s,求:

(1)波的速度;

(2)B点从波谷开始经多少时间位于波峰?

试题详情

15.(8分)有一个单摆, 当摆线与竖直方向成θ角(θ<5°)时, 摆球的速度为零。摆球运动到最低点时速度为v,求单摆的振动周期。(已知重力加速度为g)

试题详情

14.某同学在做”利用单摆测重力加速度”实验中,先测得摆线长为97.50cm,摆球直径为2.0cm,然后用秒表记录了单摆振动50次所用的时间为99.8s,则:

  ⑴该摆摆长为     cm.

  ⑵如果他测得的g值偏小,可能的原因是(     )

  A.测摆线长时摆线拉得过紧

  B.摆线上端未牢固地系于悬点,振动中出现松动,使用权摆线长增加了

  C.开始计时,秒表过迟按下

  D.实验中误将49次全振动数为50次

⑶为了提高实验精度,在实验中可改变几次摆长L并测出相应的周期,从而得出一组对应的LT2的数据,如图所示.再以 L为横坐标,T2为纵坐标,将所得数据描点,连成直线,并求得该直线的斜率为K.则重力加速度g     (用K表示)。

试题详情

13.如图所示,当光敏电阻RG受到光照时,阻值______,非门输入端A出现_____电平,输出端Y出现______电平(填“高”或“低”),发光二极管LED反向截止,_____发光(填“能”或“不能”),当把光遮住时,RG阻值增大,输入端A出现____电平,Y端是_____电平(填“高”或“低”),二极管正向导通____发光(填“能”或“不能”),达到路灯白天不亮晚上亮的目的。

试题详情

12.如图所示,两列简谐横波在同一绳上传播时某时刻的波形图,已知甲波向左传,乙波向右传。下列说法正确的是( )

A.甲波的速度比乙波的速度

B.两列波的速度一样大

C.两列波相遇时不会发生干涉现象

D.两列波相遇时绳上的质点始终为振动加强点

试题详情

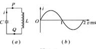
11.在图(a)所示的LC振荡电路中,通过P点的电流随时间变化的图线如图(b)所示,若把通过P点向右的电流规定为i的正方向。则( )

    A.0至0.5ms内,电容器C正在充电

    B.0.5ms至1ms内,电容器上极板带正电荷

    C.1ms至1.5ms内,Q点比P点电势高

    D.1.5ms至2ms内磁场能在减少

试题详情

10.下列说法中正确的是( )

    A.变化的电场周围空间产生的磁场一定是变化的

    B.变化的磁场周围空间产生的电场一定是变化的

    C.均匀变化的磁场周围空间产生恒定的电场

D.振荡电场周围空间产生的磁场也是振荡的

试题详情

9.如图所示,电路中的变压器为理想变压器,S为单刀双掷开关,P是滑动变阻器R的滑动触头,U1为加在原线圈两端的交变电压,I1I2分别为原线圈和副线圈中的电流。下列说法正确的是( )

A.保持P的位置及U1不变,Sb切换到a,则R上消耗的功率减小

B.保持P的位置及U1不变,Sa切换到b,则I2减小

C.保持P的位置及U1不变,Sb切换到aI1增大

D.保持U1不变,S接在b端,将P向上滑动,则I1减小

试题详情


同步练习册答案