题目列表(包括答案和解析)

 0  166190  166198  166204  166208  166214  166216  166220  166226  166228  166234  166240  166244  166246  166250  166256  166258  166264  166268  166270  166274  166276  166280  166282  166284  166285  166286  166288  166289  166290  166292  166294  166298  166300  166304  166306  166310  166316  166318  166324  166328  166330  166334  166340  166346  166348  166354  166358  166360  166366  166370  166376  166384  447348 

15、已知一列简谐波在x轴上传播,x=0处质点振动图象如图(a)所示,t=0时刻的波动

图象如图(b)所示。则当t=1.5s时刻,x=-3cm处的质点的位移可能为:(    )

  

A.0     B. 0.2cm    C. -0.2cm    D .条件不够,无法确定

试题详情

14、.图7-9所示为一列简谐横波在t=20秒时的波形图,图7-10是这列波中P点的振

动图线,那么该波的传播速度和传播方向是 :      (    )

 

A.υ=25cm/s,向左传播   B.υ=50cm/s,向左传播

C.υ=25cm/s,向右传播   D.υ=50cm/s,向右传播

试题详情

13、下图是某质点的振动图像及由此质点振动而激起的波的某时刻的波形图,下述说法

中正确的是                     (    )

A.乙是振动图像,甲是波动图像

B.由图像可知,振幅是2m,周期是0.4s,波长是0.4m

C.P质点在此时刻的速度方向为正,而波源质点在0.2s时速度方向为负

D.这列波的速度是1m/s

试题详情

12、图3所示是一列向右传播的横波在t=0时刻的波形图,已知此波的波速为2.4m/s,

则此波传播的过程中,坐标为(0.9,0)的质点到t=1s时,所通过的路程为:(   )

A.2.56m  B.2.4m  C.0.16m  D.0.02m

试题详情

11、右图5-2-2为一列沿x轴正方向传播的简谐波在某个时刻的波形图,下列关于该列

波的说法中正确的是                   (   )

A.该简谐波的振幅是4cm

B.质点P此时受到的回复力的方向向上

C.该简谐波的波长是3m

D.质点P此时的加速度方向沿y轴的负方向

试题详情

10、有一列向左传播的横波,某一时刻的波形如图4所示,可知这一时刻P点的运动方

向是:         (    )

A.y的正向    B.y的负向

C.x的负向    D.沿曲线向左上方

试题详情

9、一质点作简谐振动,图象如图6所示,由图可知         (    )

A.4s末速度为零,加速度负向、最大

B.4s末振子的位移为-0.02m

C.振动周期是5s,振幅是0.02m

D.1s末,振动物体的速度为正向最大

试题详情

8、一质点作简谐运动,其位移x与时间t的关系曲线如图7-1所示.由图可知,在t =4s

时,质点的 :                       (    )                         

   A.速度为正的最大值,加速度为零

   B.速度为负的最大值,加速度为零

   C.速度为零,加速度为正的最大值

   D.速度为零,加速度为负的最大值

试题详情

7、在一根张紧的绳上挂着四个单摆,甲丙摆长相等,当甲摆摆动时:   (   )

   A.乙摆与甲摆周期相同            B.丁摆频率最小

   C.乙摆振幅最大              D.丙摆振幅最大

试题详情

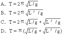
6、一绳长为L的单摆,在平衡位置正上方(L-L′)的P处有一个钉子,如图所示,

这个摆的周期是:                (      )

 

试题详情


同步练习册答案