题目列表(包括答案和解析)

 0  166784  166792  166798  166802  166808  166810  166814  166820  166822  166828  166834  166838  166840  166844  166850  166852  166858  166862  166864  166868  166870  166874  166876  166878  166879  166880  166882  166883  166884  166886  166888  166892  166894  166898  166900  166904  166910  166912  166918  166922  166924  166928  166934  166940  166942  166948  166952  166954  166960  166964  166970  166978  447348 

28、如图25-1所示为矩形的水平光滑导电轨道abcd,ab边和cd边的电阻均为5R0,ad边和bc边长均为L,ad边电阻为4R0,bc边电阻为2R0,整个轨道处于与轨道平面垂直的匀强磁场中,磁感强度为B。轨道上放有一根电阻为R0的金属杆mn,现让金属杆mn在平行轨道平面的未知拉力F作用下,从轨道右端以速率V匀速向左端滑动,设滑动中金属杆mn始终与ab、cd两边垂直,且与轨道接触良好。ab和cd边电阻分布均匀,求滑动中拉力F的最小牵引功率。

分析与解:mn金属杆从右端向左端匀速滑动切割磁感线产生感应电动势,mn相当于电源,其电路为内电路,电阻为内电阻。当外电阻最大时,即当mn滑到距离ad=(2/5)ab时,此时电阻Rmadn=Rmbcn=8R0时,外阻最大值Rmax=4R0,这时电路中电流最小值:Imin=ε/(Rmax+r)=BLV/(4R0+R0)=BLV/5R0

所以,Pmin=FminV=BLIminV=BLVBLV/5R0=B2L2V2/5R0

试题详情

27、如图24-1所示,R1=R2=R3=R4=R,电键S闭合时,间距为d的平行板电容器C 的正中间有一质量为m,带电量为q的小球恰好处于静止状态;电键S断开时,小球向电容器一个极板运动并发生碰撞,碰撞后小球带上与极板同种性质的电荷。设碰撞过程中没有机械能损失,小球反弹后恰好能运动到电容器另一极板。若不计电源内阻,求:(1)电源的电动势,(2)小球与极板碰撞后的带电量。

分析与解:(1)电键S闭合时,R1、R3并联与R4串联,(R2中没有电流通过)

UC=U4=(2/3)ε

对带电小球有:mg=qE=qUC/d=(2/3)qε/d 得:ε=(3/2)mgd/q

(2)电键S断开后,R1、R4串联,则UC’=ε/2=(3/4)mgd/q  [1]

小球向下运动与下极板相碰后,小球带电量变为q’,向上运动到上极板,全过程由动能定理得:mgd/2-qUC’/2-mgd+q’UC’=0  [2]

由[1][2]式解得:q’=7q/6。

试题详情

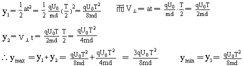
26、两平行金属板相距为d,加上如图23-1(b)所示的方波形电压,电压的最大值为U0,周期为T。现有一离子束,其中每个离子的质量为m,电量为q,从与两板等距处沿着与板平行的方向连续地射入两板间的电场中。设离子通过平行板所需的时间恰为 T(与电压变化周期相同),且所有离子都能通过两板间的空间打在右端的荧光屏上。试求:离子击中荧光屏上的位置的范围。(也就是与O‘点的最大距离与最小距离)。重力忽略不计。

分析与解:

各个离子在电场中运动时,其水平分运动都是匀速直线运动,而经过电场所需时间都是T,但不同的离子进入电场的时刻不同,由于两极间电压变化,因此它们的侧向位移也会不同。

当离子在t=0,T,2T……时刻进入电场时,两板间在T/2时间内有电压U0,因而侧向做匀加速运动,其侧向位移为y1,速度为V。接着,在下一个T/2时间内,两板间没有电压,离子以V速度作匀速直线运动,侧向位移为y2,如图23-2所示。这些离子在离开电场时,侧向位移有最大值,即(y1+y2)。

当离子在T=t/2,3/2T,5/2T……时刻进入电场

时,两板间电压为零,离子在水平方向做匀速

直线运动,没有侧向位移,经过T/2时间后,

两板间有电压U0,再经过T/2时间,有了侧向

位移y1,如图23-3所示。这些离子离开电场时

有侧向位移的最小值,即y1

当离子在上述两种特殊时刻之外进入电场的,其侧向位移值一定在(y1+y2)与y1之间。根据上述分析就可以求出侧向位移的最大值和最小值。

所以,离子击中荧光屏上的位置范围为:

 

试题详情

25、如图22-1所示,A、B为平行金属板,两板相距为d,分别与电源两极相连,两板的中央各有小孔M、N。今有一带电质点,自A板上方相距为d的P点由静止自由下落(P、M、N三点在同一竖直线上),空气阻力不计,到达N点时速度恰好为零,然后按原路径返回。若保持两板间的电压不变,则:

A.    若把A板向上平移一小段距离,质点自P点下落仍能返回。

B.    若把B板向下平移一小段距离,质点自P点下落仍能返回。

C.    若把A板向上平移一小段距离,质点自P点下落后将穿过N孔继续下落。

D.    若把B板向下平移一小段距离,质点自P点下落后将穿过N孔继续下落。

分析与解:当开关S一直闭合时,A、B两板间的电压保持不变,当带电质点从M向N运动时,要克服电场力做功,W=qUAB,由题设条件知:带电质点由P到N的运动过程中,重力做的功与质点克服电场力做的功相等,即:mg2d=qUAB

若把A板向上平移一小段距离,因UAB保持不变,上述等式仍成立,故沿原路返回,应选A。

若把B板下移一小段距离,因UAB保持不变,质点克服电场力做功不变,而重力做功增加,所以它将一直下落,应选D。

由上述分析可知:选项A和D是正确的。

想一想:在上题中若断开开关S后,再移动金属板,则问题又如何?(选A、B)。

试题详情

12、质量为m的钢板与直立轻弹簧的上端连接,弹簧下端固定在地上。平衡时,弹簧的压缩量为Xo,如图11-1所示。一物块从钢板正上方距离为 3Xo的A处自由落下,打在钢板上并立刻与钢板一起向下运动,但不粘连。它们到达最低点后又向上运动。已知物块质量也为m时,它们恰能回到O点。若物块质量为2m,仍从A处自由落下,则物块与钢板回到O点时,还具有向上的速度。求物块向上运动到达的最高点O点的距离。

分析与解:物块自由下落,与钢板碰撞,压缩弹簧后再反弹向上,运动到O点,弹簧恢复原长。碰撞过程满足动量守恒条件。压缩弹簧及反弹时机械能守恒。自由下落3Xo,根据机械能守恒:

  所以  物块与钢板碰撞时,根据动量守恒:  mv0=(m+m)v1(v1为碰后共同速度)

  V1=V0/2=

物块与钢板一起升到O点,根据机械能守恒:2mV12+Ep=2mgx0 [1]

如果物块质量为2m,则:2mVo=(2m+m)V2 ,即V2=Vo

设回到O点时物块和钢板的速度为V,则:3mV22+Ep=3mgx0+3mV2 [2]

从O点开始物块和钢板分离,由[1]式得:

  Ep=mgx0 代入[2]得:m(Vo)2+mgx0=3mgx0+3mV2

所以,V2=gx0     

试题详情

11、如图10-1所示,劲度系数为 K的轻质弹簧一端与墙固定,另一端与倾角为θ的斜面体小车连接,小车置于光滑水平面上。在小车上叠放一个物体,已知小车质量为 M,物体质量为m,小车位于O点时,整个系统处于平衡状态。现将小车从O点拉到B点,令OB=b,无初速释放后,小车即在水平面B、C间来回运动,而物体和小车之间始终没有相对运动。求:(1)小车运动到B点时的加速度大小和物体所受到的摩擦力大小。(2)b的大小必须满足什么条件,才能使小车和物体一起运动过程中,在某一位置时,物体和小车之间的摩擦力为零。

分析与解:

(1)所求的加速度a和摩擦力f是小车在B点时的瞬时值。取M、m和弹簧组成的系统为研究对象,由牛顿第二定律:kb=(M+m)a   所以a=kb/(M+m)。

  取m为研究对象,在沿斜面方向有:f-mgsinθ=macosθ

所以,f=mgsinθ+mcosθ=m(gsinθ+cosθ)

(2)当物体和小车之间的摩擦力的零时,小车的加速度变为a’,小车距O点距离为b’,取m为研究对象,有:mgsinθ=ma’cosθ

取M、m和弹簧组成的系统为研究对象,有:kb‘=(M+m)a’

以上述两式联立解得:b‘=(M+m)gtgθ

  说明:在求解加速度时用整体法,在分析求解m受到的摩擦力时用隔离法。整体法和隔离法两者交互运用是解题中常用的方法,希读者认真掌握。

试题详情

10、如图9-1所示,质量为M=3kg的木板静止在光滑水平面上,板的右端放一质量为m=1kg的小铁块,现给铁块一个水平向左速度V0=4m/s,铁块在木板上滑行,与固定在木板左端的水平轻弹簧相碰后又返回,且恰好停在木板右端,求铁块与弹簧相碰过程中,弹性势能的最大值EP

分析与解:在铁块运动的整个过程中,系统的动量守恒,因此弹簧压缩最大时和铁块停在木板右端时系统的共同速度(铁块与木板的速度相同)可用动量守恒定律求出。在铁块相对于木板往返运动过程中,系统总机械能损失等于摩擦力和相对运动距离的乘积,可利用能量关系分别对两过程列方程解出结果。

  设弹簧压缩量最大时和铁块停在木板右端时系统速度分别为V和V’,由动量守恒得:mV0=(M+m)V=(M+m)V’ 所以,V=V’=mV0/(M+m)=1X4/(3+1)=1m/s

铁块刚在木板上运动时系统总动能为:EK=mV02=0.5X1X16=8J

弹簧压缩量最大时和铁块最后停在木板右端时,系统总动能都为:

EK’=(M+m)V2=0.5X(3+1)X1=2J

铁块在相对于木板往返运过程中,克服摩擦力f所做的功为:

Wf=f2L=EK-EK’=8-2=6J

铁块由开始运动到弹簧压缩量最大的过程中,系统机械能损失为:fs=3J

由能量关系得出弹性势能最大值为:EP=EK-EK‘-fs=8-2-3=3J

说明:由于木板在水平光滑平面上运动,整个系统动量守恒,题中所求的是弹簧的最大弹性势能,解题时必须要用到能量关系。在解本题时要注意两个方面:①.是要知道只有当铁块和木板相对静止时(即速度相同时),弹簧的弹性势能才最大;弹性势能量大时,铁块和木板的速度都不为零;铁块停在木板右端时,系统速度也不为零。

②.是系统机械能损失并不等于铁块克服摩擦力所做的功,而等于铁块克服摩擦力所做的功和摩擦力对木板所做功的差值,故在计算中用摩擦力乘上铁块在木板上相对滑动的距离。

试题详情

9、如图8-1所示,质量为m=0.4kg的滑块,在水平外力F作用下,在光滑水平面上从A点由静止开始向B点运动,到达B点时外力F突然撤去,滑块随即冲上半径为 R=0.4米的1/4光滑圆弧面小车,小车立即沿光滑水平面PQ运动。设:开始时平面AB与圆弧CD相切,A、B、C三点在同一水平线上,令AB连线为X轴,且AB=d=0.64m,滑块在AB面上运动时,其动量随位移的变化关系为P=1.6kgm/s,小车质量M=3.6kg,不计能量损失。求:

(1)滑块受水平推力F为多大? (2)滑块通过C点时,圆弧C点受到压力为多大? (3)滑块到达D点时,小车速度为多大? (4)滑块能否第二次通过C点? 若滑块第二次通过C点时,小车与滑块的速度分别为多大? (5)滑块从D点滑出再返回D点这一过程中,小车移动距离为多少? (g取10m/s2)

  分析与解:(1)由P=1.6=mv,代入x=0.64m,可得滑块到B点速度为:

    VB=1.6/m=1.6=3.2m/s

   A→B,由动能定理得:FS=mVB2

    所以 F=mVB2/(2S)=0.4X3.22/(2X0.64)=3.2N

(2)滑块滑上C立即做圆周运动,由牛顿第二定律得:

    N-mg=mVC2/R 而VC=VB 则   N=mg+mVC2/R=0.4X10+0.4X3.22/0.4=14.2N

(3)滑块由C→D的过程中,滑块和小车组成系统在水平方向动量守恒,由于滑块始终紧贴着小车一起运动,在D点时,滑块和小车具有相同的水平速度VDX 。由动量守恒定律得:mVC=(M+m)VDX

所以 VDX=mVC/(M+m)=0.4X3.2/(3.6+0.4)=0.32m/s

(4)滑块一定能再次通过C点。因为滑块到达D点时,除与小车有相同的水平速度VDX外,还具有竖直向上的分速度VDY,因此滑块以后将脱离小车相对于小车做竖直上抛运动(相对地面做斜上抛运动)。因题中说明无能量损失,可知滑块在离车后一段时间内,始终处于D点的正上方(因两者在水平方向不受力作用,水平方向分运动为匀速运动,具有相同水平速度), 所以滑块返回时必重新落在小车的D点上,然后再圆孤下滑,最后由C点离开小车,做平抛运动落到地面上。由机械能守恒定律得:

   mVC2=mgR+(M+m)VDX2+mVDY2

所以

以滑块、小车为系统,以滑块滑上C点为初态,滑块第二次滑到C点时为末态,此过程中系统水平方向动量守恒,系统机械能守恒(注意:对滑块来说,此过程中弹力与速度不垂直,弹力做功,机械能不守恒)得:

   mVC=mVC‘+MV 即mVC2=mVC2+MV2

上式中VC‘、V分别为滑块返回C点时,滑块与小车的速度,

     V=2mVC/(M+m)=2X0.4X3.2/(3.6+0.4)=0.64m/s

   VC’=(m-M)VC/(m+M)=(0.4-3.6)X3.2/(0.4+3.6)=-2.56m/s(与V反向)

(5)滑块离D到返回D这一过程中,小车做匀速直线运动,前进距离为:

   △S=VDX2VDY/g=0.32X2X1.1/10=0.07m

试题详情

8、一内壁光滑的环形细圆管,位于竖直平面内,环的半径为R(比细管的内径大得多。在圆管中有两个直径与细管内径相同的小球(可视为质点)。A球的质量为m1,B球的质量为m2。它们沿环形圆管顺时针运动,经过最低点时的速度都为V0。设A球运动到最低点时,B球恰好运动到最高点,若要此时两球作用于圆管的合力为零,那么m1、m2、R与V0应满足的关系式是     

分析与解:如图7-1所示,A球运动到最低点时速度为V0,A球受到向下重力mg和细管向上弹力N1的作用,其合力提供向心力。那么,N1-m1g=m1 [1]

这时B球位于最高点,速度为V1,B球受向下重力m2g和细管弹力N2作用。球作用于细管的力是N1、N2的反作用力,要求两球作用于细管的合力为零,即要求N2与N1等值反向,N1=N2 [2], 且N2方向一定向下,对B球:N2+m2g=m2 [3]

B球由最高点运动到最低点时速度为V0,此过程中机械能守恒:

m2V12+m2g2R=m2V02 [4]

由[1][2][3][4]式消去N1、N2和V1后得到m1、m2、R与V0满足的关系式是:

(m1-m2)+(m1+5m2)g=0 [5]

说明:(1)本题不要求出某一物理量,而是要求根据对两球运动的分析和受力的分析,在建立[1]-[4]式的基础上得到m1、m2、R与V0所满足的关系式[5]。(2)由题意要求两球对圆管的合力为零知,N2一定与N1方向相反,这一点是列出[3]式的关键。且由[5]式知两球质量关系m1<m2

试题详情

1]、[2]两式消去GM解得:V===2.0X103 m/s

  说明:n越大(即卫星越高),卫星的线速度越小。若n=0,即近地卫星,则卫星的线速度为V0==7.9X103m/s,这就是第一宇宙速度,即环绕速度。

试题详情


同步练习册答案