题目列表(包括答案和解析)

 0  166814  166822  166828  166832  166838  166840  166844  166850  166852  166858  166864  166868  166870  166874  166880  166882  166888  166892  166894  166898  166900  166904  166906  166908  166909  166910  166912  166913  166914  166916  166918  166922  166924  166928  166930  166934  166940  166942  166948  166952  166954  166958  166964  166970  166972  166978  166982  166984  166990  166994  167000  167008  447348 

14. 一定质量的理想气体,在某个过程中放出热量而温度保持不变,则该过程中气体

   A. 内能不变         B. 对外做功     C. 密度减小     D. 压强增大

试题详情

13. 0.31gP和一定量Cl2反应,把生成的PClx全部溶于水,得500mL溶液,其中氯元素全部转化为。取10mL溶液用的AgNO3溶液滴定,在滴定过程中不断测定生成沉淀的质量,得到如下数据:

   则x的值是

   A. 5        B. 4        C. 3        D. 无法确定

试题详情

12. 向体积均为1L,pH均等于2的盐酸和醋酸中,分别投入0.28g Fe,则下图中的曲线符合反应事实的是

A                     B

C                     D

试题详情

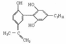
11. 举办“人文奥运”的一个重要体现是,禁止运动员服用兴奋剂。有一种兴奋剂的结构简式为:

   有关该物质的说法正确的是

   A. 遇FeCl3溶液显紫色,因为该物质与苯酚属于同系物

   B. 滴入酸性KMnO4溶液,观察到紫色褪去,可证明分子中存在双键

   C. 该分子中所有碳原子可能共平面

   D. 1mol该物质与浓溴水和H2反应时,最多消耗Br2和H2的物质的量分别为4mol、7mol

试题详情

10. 有三种短周期元素的离子,的电子层数比多1,且的核外电子数与Ar相同。下列说法相同的是

   A. 原子半径Z>X>Y

   B. 是一种两性氢氧化物

   C. X单质不与水反应

   D. 工业上用电解XZ2水溶液的方法来制备单质X

试题详情

9. 四支试管分别充满O2、NO2、Cl2、NH3四种气体,把它们分别倒立于盛有下列各种液体的水槽中,产生的现象如下图所示,其中充满Cl2的试管是

试题详情

8. 要证明某种盐的水解反应是吸热的,有四位同学设计实验如下,其中不正确的是

   A. 甲同学:通过实验发现相同浓度的热的纯碱溶液比冷的纯碱溶液去油污效果好,说明碳酸钠水解是吸热的

   B. 乙同学:加热混有的KNO3溶液能使沉淀为Fe(OH)3,从而将除去,说明含的盐水解是吸热的

   C. 丙同学:在醋酸钠溶液中滴入酚酞溶液,加热(不考虑水蒸发)后若红色加深,说明醋酸钠水解是吸热的

   D. 丁同学:将硝酸铵晶体溶于水,水温下降,说明硝酸铵水解是吸热的

试题详情

7. 下图是反应的能量随反应历程变化的示意图,下列叙述中正确的是

   A. 增大压强,该反应的反应速率不发生变化,因此平衡不发生移动

   B. 加入催化剂,该反应的反应热发生改变

   C. 正反应为吸热反应

   D. 加热可增大正反应速率,减小逆反应速率

试题详情

6. 下列叙述正确的是

   A. 变质的油脂有难闻的特殊气味,是由于油脂发生了水解反应

   B. 禽流感并不可怕,当加热到70℃以上就可以使其病毒蛋白质凝聚变性而致死,日常使用的消毒剂也可以用于杀灭该病毒

   C. 棉花、羊毛、木材和草类的主要成分都是纤维素

   D. 蜂蚊叮咬人的皮肤时将分泌物甲酸注入人体使人感到痛痒,此时可在患处涂抹酒精

试题详情

5. 将一盆栽植物横放于地,则其水平方向的主根近地一侧生长素浓度变化的曲线为:(图中虚线表示对根生长既不促进也不抑制的生长素浓度)

试题详情


同步练习册答案