题目列表(包括答案和解析)

 0  167347  167355  167361  167365  167371  167373  167377  167383  167385  167391  167397  167401  167403  167407  167413  167415  167421  167425  167427  167431  167433  167437  167439  167441  167442  167443  167445  167446  167447  167449  167451  167455  167457  167461  167463  167467  167473  167475  167481  167485  167487  167491  167497  167503  167505  167511  167515  167517  167523  167527  167533  167541  447348 

1.宇宙飞船为了要与“和平号“轨道空间站对接,应该:[       ]

A.在离地球较低的轨道上加速     B.在离地球较高的轨道上加速

C.在与空间站同一高度轨道上加速   D.不论什么轨道,只要加速就行

试题详情

14. 解:整体,F-μ(mA+mB)g=(mA+mB)a     ⑴

   A、B不相对滑动的临界条件为地面对A的支持力刚好为零。

     对A,  Ncosθ=mAg           ⑵

        F-Nsinθ=mAa          ⑶

   由 ⑴⑵⑶得:μ(mA+mB)g- mAgtgθ= mBa>0  (向右匀加速a>0)

μ< mAtgθ/(mA + mB)

由 ⑴⑵⑶得:Fm = mA(mA + mB)g(tgθ-μ)/mB )

试题详情

13. 解:以棒为参照物:滑套相对棒沿棒向上以a1做初速为零的匀加速运动。

a1= acosθ- gsinθ  (a>gtgθ)

则b= a1t2/2所以t=

试题详情

12. 解: A、B系统机械能守恒。

m2g =  +       ①

v1 = v/cos30°, v2 = v/sin30°

两式合并成:v1 = v2 tg30°= v2/   ②

解①、②两式,得:v2 =

试题详情

11. 解:⑴物体落到木板上之后,在达到相对静止前,在水平方向上相互作用的滑动摩擦力:

f=μmg=4N。

物体向右做初速度为零的匀加速运动,加速度a1=μg=2m/s2.

在此时间内,木板加速度为a2=F-f/M=0.5m/s2

相对静止时,两物体达到共同的速度:

a1t=V0+a2t     V0=1.5m/s  所以t=1s

而s=(V0t+1/2a2t2)-1/2a1t2=0.75m

     ⑵有摩擦力。整体:a=F/(M+m)=0.8m/s2

              f=ma=1.6N

试题详情

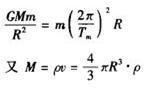
10. 解:在气态恒星表面取一团质量为 m的小气团作为研究对象,由万有引力提供向心力得:

  

试题详情

9. 答:恒定不变;单调变大。

试题详情

8. h/4,h(N+1)2/2T2。设每滴水从水龙头落至盘中经历时间为t0,则第一滴水经历 t0=到达盘中时,第二滴水正在空中,它运动了t0/2的时间,运动距离h ′=h/4.若从第1个水滴离开水龙头开始计时,则相继下落的水滴到达盘中的时刻依次为:

第一滴水落盘时:t1=t0

第二滴水落盘时:t2==   第N滴水落盘时tN==T

则t0=    所以 

试题详情

7. mgh+(mg)2/2k

试题详情

6. 变小

试题详情


同步练习册答案