题目列表(包括答案和解析)

 0  167378  167386  167392  167396  167402  167404  167408  167414  167416  167422  167428  167432  167434  167438  167444  167446  167452  167456  167458  167462  167464  167468  167470  167472  167473  167474  167476  167477  167478  167480  167482  167486  167488  167492  167494  167498  167504  167506  167512  167516  167518  167522  167528  167534  167536  167542  167546  167548  167554  167558  167564  167572  447348 

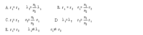
4.某一单色光在折射率为n1的媒质中传播时,它的波长、频率和波速分别用λ1γ1υ1表示,在折射度为n2的媒质中,分别用λ2γ2υ2表示,以上这些物理量存在如下的关系(  ).

试题详情

3.简易潜望镜中的两块平面镜中心点之间的距离为L,通过潜望镜观察水平正前方的物体,看到像的位置比物体的实际位置(   ).

A.水平方向远L,竖直方向低L    B.水平方向远L,竖直方向高L

C.水平方向近L,竖直方向高L    D.水平方向近L,竖直方向低L

试题详情

2.对于光的传播,下列说法中正确的是(   ).

A.一定颜色的光传播度大小由媒质决定

B.不同颜色的光在同一种媒质中传播时,波长越短的光传播速度越快

C.同一频率的光在不同媒质波长不同,而在真空中的波长最长

D.同一色光的频率随传播速度不同而改变

试题详情

1.对于下列光现象的说法中,正确的是  (  )

  A.夏天烈日照射下公路远望像洒了一层水一样,这是光的全反射现象

  B.通过玻璃三棱镜看到的像比物体实际位置要低

  C.光导纤维是利用光的全反射现象制成的

  D.手术台上的无影灯消除影子是由于光没直线传播的形成的

试题详情

22、有人设想用题24图所示的装置来选择密度相同、大小不同的球状纳米粒子。粒子在电离室中电离后带正电,电量与其表面积成正比。电离后,粒子缓慢通过小孔O1进入极板间电压为U的水平加速电场区域I,再通过小孔O2射入相互正交的恒定匀强电场、磁场区域II,其中磁场的磁感应强度大小为B,方向如图。收集室的小孔O3O1O2在同一条水平线上。半径为r0的粒子,其质量为m0、电量为q0,刚好能沿O1O3直线射入收集室。不计纳米粒子重力。()

(1)试求图中区域II的电场强度;

(2)试求半径为r的粒子通过O2时的速率;

(3)讨论半径rr0的粒子刚进入区域II时向哪个极板偏转。

试题详情

21、如图所示,在x<0与x>0的区域中,存在磁感应强度大小分别为B1B2的匀强磁场,磁场方向垂直于纸面向里,且B1B2。一个带负电的粒子从坐标原点O以速度v沿x轴负方向射出,要使该粒子经过一段时间后又经过O点,B1B2的比值应满足什么条件?

试题详情

20、两块金属a、b平行放置,板间存在与匀强电场正交的匀强磁场,假设电场、磁场只存在于两板间的空间区域。一束电子以一定的初速度v0从两极板中间,沿垂直于电场、磁场的方向射入场中,无偏转地通过场区,如图所示。已知板长l=10cm,两板间距d=3.0cm,两板间电势差U=150V,v0=2.0×107m/s。求:

  (1)求磁感应强度B的大小;

  (2)若撤去磁场,求电子穿过电场时偏离入射方向的距离,以及电子通过场区后动能增加多少?(电子所带电荷量的大小与其质量之比,电子电荷量的大小e=1.60×10-19C)

试题详情

19、如图12所示,在一个圆形区域内,两个方向相反且都垂直于纸面的匀强磁场分布在以直径A2A4为边界的两个半圆形区域Ⅰ、Ⅱ中,A2A4A1A3的夹角为60º。一质量为m、带电量为+q的粒子以某一速度从Ⅰ区的边缘点A1处沿与A1A3成30º角的方向射入磁场,随后该粒子以垂直于A2A4的方向经过圆心O进入Ⅱ区,最后再从A4处射出磁场。已知该粒子从射入到射出磁场所用的时间为t,求Ⅰ区和Ⅱ区中磁感应强度的大小(忽略粒子重力)。

试题详情

18、(22分)如图所示,在足够大的空间范围内,同时存在着竖直向上的匀强电场和垂直纸面向里的水平匀强磁场,磁感应强度B=1.57T。小球1带正电,其电量与质量之比=4C/kg,所受重力与电场力的大小相等;小球2不带电,静止放置于固定和水平悬空支架上。小球1向右以v0=23.59m/s的水平速度与小球2正碰,碰后经0.75s再次相碰。设碰撞前后两小球带电情况不发生改变,且始终保持在同一竖直平面内。(取g=10m/s2)问:

(1)电场强度E的大小是多少?

(2)两小球的质量之比是多少?

附加题(05、06年高考集锦)

试题详情

17、(16分)在以坐标原点O为圆心、半径为r的圆形区域内,存在磁感应强度应大小为B方向垂直于纸面向里的匀强磁场,如图所示。一个不计重力的带电粒子从磁场边界与x轴的交点A处以速度v沿-x方向射入磁场,它恰好从磁场边界的交点C处沿+y方向飞出。

 (1)判断该粒子带何种电荷,并求出其比荷

 (2)若磁场的方向和所在空间范围不变,而磁感应强度的大小变为B/,该粒子仍以A处相同的速度射入磁场,但飞出磁场时的速度方向相对于入射方向改变了60°角,求磁感应强度B/多大?此粒子在磁场中运动手所用时间t是多少?

试题详情


同步练习册答案