题目列表(包括答案和解析)

 0  167617  167625  167631  167635  167641  167643  167647  167653  167655  167661  167667  167671  167673  167677  167683  167685  167691  167695  167697  167701  167703  167707  167709  167711  167712  167713  167715  167716  167717  167719  167721  167725  167727  167731  167733  167737  167743  167745  167751  167755  167757  167761  167767  167773  167775  167781  167785  167787  167793  167797  167803  167811  447348 

1.请你列举几个日常生活中的省力杠杆,至少举4个例子,最多可举6个。

试题详情

4.根据初二学习的滑轮有关知识,请你回答如下几个问题:

(1)        滑轮除了可以省力外,还有哪些优点?请说出1个。

(2)什么样的滑轮不能省力?

(3)现在,有一个由1个动滑轮和2个定滑轮组成的滑轮组,我们将它颠倒

与由1个定滑轮和2个定动滑轮组成的滑轮组,则后者比前者可多省几分之几的力?

(4)将滑轮与杠杆组合,可制造成什么机械为生产建设服务?

试题详情

3.你把焦耳定律的表示式和含义用4种不同的方式表示出来。

试题详情

A、    利用磁感线去研究磁场问题。

B、    电流看不见、摸不着,判断电路中是否有电流时,我们可通过电路中的灯泡是否发光去确定。

C、    研究电流与电压、电阻关系时,先使电阻不变去研究电流与电压的关系;然后再让电压不变去研究电流与电阻的关系。

D、    研究电流时,将它比做水流。

试题详情

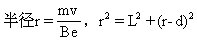
14.电场、磁场都存在,电子匀速直线运动时,

eE=Bev解得E=Bv;单独存在磁场时,电子做匀速圆周运动,

 

解得:r=(L2+d2)/2d

电子在电场中做类平抛运动,偏离距离为d′,则

试题详情

13.2:1;1:1;2:1

试题详情

9.4;0.6

       

试题详情

8.5.7×10-5;5.95×10-12

试题详情

14.在宽L=10cm的区域内,存在着互相垂直的电场和磁场,如图所示.一束荷质比e/m=1.8×1011C/kg的电子以v =1.8×106m/s的速度垂直射入场中而恰好不改变运动方向.若去掉电场,电子穿过磁场区后 偏离原方向5cm.那么如果去掉磁场而保持原电场,电子将偏离原方向多远?

单元练习答案

试题详情


同步练习册答案