题目列表(包括答案和解析)

 0  192655  192663  192669  192673  192679  192681  192685  192691  192693  192699  192705  192709  192711  192715  192721  192723  192729  192733  192735  192739  192741  192745  192747  192749  192750  192751  192753  192754  192755  192757  192759  192763  192765  192769  192771  192775  192781  192783  192789  192793  192795  192799  192805  192811  192813  192819  192823  192825  192831  192835  192841  192849  447348 

51.右图表示某生物卵原细胞中的染色体和染色体上的基因,请回答:(10分)

 (1)图中染色体l与2是        

而染色体l与3是         

 (2)图中,基因A与a是        

而基因A与B是          

(3)不能进入同一配子的基因是          

试题详情

40.下列关于基因的叙述中,错误的是

A.基因中脱氧核苷酸的排列顺序代表着遗传信息

B.基因中所含的脱氧核苷酸共有4种

C.基因中所含脱氧核苷酸有成百上千个    

D.DNA分子的片段叫做基因

第II卷(共60分)

试题详情

39.能揭示基因化学本质的表述是

A.基因是遗传物质的功能单位   B.基因是有遗传效应的 DNA 片段

C.基因蕴含遗传信息       D.基因在染色体上呈线性排列

试题详情

38.在真核细胞中,关于基因和染色体关系的叙述错误的是

A.染色体是基因的主要载体        B.基因在染色体上呈线性排列  

C.一条染色体上有多个基因        D.所有的基因都位于染色体上

试题详情

37.一条染色单体含有一个双链的DNA分子,那么,四分体时期的一条染色体含有

A.四个双链DNA分子         B.二个双链DNA分子

C.二个单链DNA分子         D.一个双链DNA分子

试题详情

36.关于生物体内的遗传物质下列说法正确的是

  A.细菌的遗传物质主要是DNA       B.病毒的遗传物质主要是RNA

  C.有细胞结构的生物遗传物质是DNA    D.细胞质中的遗传物质主要是RNA

试题详情

35.证明DNA是遗传物质的几个经典实验中,实验设计思路最关键的是

A.要用同位素标记DNA和蛋白质   

B.要分离DNA和蛋白质

C.要得到噬菌体和肺炎双球菌 

D.把DNA和蛋白质分开,单独观察它们的作用

试题详情

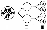
34.右图是果蝇细胞正常减数分裂图,下列说法正确的是

  A.图I表示初级卵母细胞

B.图II表示的细胞中没有同源染色体

C.如果不发生交叉互换,四个子细胞内染色体的组成各不相同

D.图Ⅲ可能是4个精细胞,也可能是1个卵细胞和三个极体

试题详情

33.若将一个DNA分子用15N标记,然后将其放在含有14N的培养液中进行复制。问该DNA分子经过2次复制后形成新的DNA分子中,含15N标记的DNA分子数是 

A.0    B.1  C.2   D.4

试题详情

32.一个用放射性元素标记的双链DNA的噬菌体侵染细菌,若引细菌破裂后释放出n个噬菌体,则具有放射性元素标记的噬菌体占总数的

A.1/2n        B.1/n        C.2/n        D.1/2

试题详情


同步练习册答案