题目列表(包括答案和解析)

 0  192656  192664  192670  192674  192680  192682  192686  192692  192694  192700  192706  192710  192712  192716  192722  192724  192730  192734  192736  192740  192742  192746  192748  192750  192751  192752  192754  192755  192756  192758  192760  192764  192766  192770  192772  192776  192782  192784  192790  192794  192796  192800  192806  192812  192814  192820  192824  192826  192832  192836  192842  192850  447348 

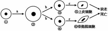
7.下图为人体某个细胞所经历的生长发育各个阶段示意图,图中①-⑥为各个时期的细胞,a-c表示细胞所进行的生理过程。据图分析,下列叙述正确的是

A.与①相比,②的表面积/体积比值增大,与外界环境进行物质交换的能力也增强

B.⑤与⑥的细胞核内遗传物质相同,细胞内的蛋白质也相同

C.虽然⑤⑥已失去分裂能力,但其细胞内的物质合成与分解仍能进行

D.细胞的衰老与死亡通常会引起人体的衰老与死亡

试题详情

6.银杏和大熊猫都被誉为生物界的“活化石”,它们的细胞中共有的结构是

①细胞壁 ②细胞膜 ③线粒体 ④叶绿体 ⑤内质网 ⑥核糖体 ⑦中心体

A.①②⑥⑦  B.②③⑥⑦    C.②④⑤⑥    D.②③⑤⑥

试题详情

5.下列关于物质跨膜转运的描述,正确的是

A.大分子有机物要通过转运蛋白的转运才能进入细胞内,并且要消耗能量 B.相对分子质量小的物质或离子都可以通过扩散进入细胞内 C.主动转运可发生在细胞逆浓度吸收物质时,既要消耗细胞的能量,也要依靠膜上的转运蛋白 D.易化扩散和渗透都是顺浓度梯度进行的,既不需要消耗能量,也不需要膜上的转运蛋白

试题详情

4.组成淀粉、淀粉酶、控制淀粉酶合成的基因(DNA)的基本单位依次是

A.葡萄糖、蛋白质、DNA        B.蔗糖、氨基酸、核糖核苷糖

C.葡萄糖、氨基酸、脱氧核苷酸     D.麦芽糖、多肽、核苷糖

试题详情

3.某蛋白质分子由M个氨基酸、4条肽链组成,则该蛋白质分子

A.共有M个肽键             B.含有20种氨基酸

C.水解时需要M+4个水分子        D.至少含有4个游离的羧基

试题详情

2.在下列物质中,若将其中构成人体的氨基酸各一个通过缩合而形成多肽,则此多肽分子中所含有的游离的羧基数目是                   (   )

(1)      (2)

(4)
 
(3)       

(5)
 

        A.1个   B. 3个   C. 4个     D. 至少3个

试题详情

1.目前防控甲型H1N1流感形势严峻,幸喜浙江省第一批甲流疫苗10月26日已调拨到金华,下列关于甲型H1N1流感病毒及其宿主细胞的叙述,正确的是

A.甲型H1N1流感病毒的遗传物质RNA由5种碱基和8种核苷酸组成

B.甲型H1N1流感病毒进入人体细胞利用人的核糖体合成蛋白质

C.甲型H1N1流感病毒可以侵入人体细胞但并不能侵入植物的细胞主要是因为人细胞没有细胞壁,而与人体细胞膜表面的细胞外被没有关系

D.甲型H1N1流感病毒能侵入人体细胞是因为病毒细胞膜与人体细胞膜的细胞外被在结构相似,且都具有流动性。

试题详情

54.家鸡控制黑羽(E)与红羽(e),豆冠(F)与片冠(f)的基因自由组合。让纯合子的黑羽豆冠鸡与纯合子的红羽片冠鸡交配。请回答下列问题:(18分)

(1)F1产生的配子类型及比例是                          

(2)F1分别与哪种类型交配可得到如下结果,填写出与F1交配的基因型及表现型。

①子代中黑羽豆冠:红羽豆冠=3:1,与F1交配的基因型为       表现型为      

②子代中黑羽豆冠:黑羽片冠:红羽豆冠:红羽片冠=1:1:1:1

与F1交配的基因型为           ,表现型为___      __   

③子代中黑羽豆冠:黑羽片冠:红羽豆冠:红羽片冠=3:1:3:1

与F1交配的基因型为            ,表现型为_____        

④子代中黑羽豆冠:黑羽片冠:红羽豆冠:红羽片冠=3:3:1:1

与F1交配的基因型为            ,表现型为  ___         

试题详情

53.西瓜果实中的红果、黄果是一对相对性状,D控制显性性状,d控制隐性性状,如下图所示,根据遗传图解回答下列问题:(20分)

(1)红果、黄果中显性性状是-__________  ___

(2)F1红果的基因型是-_____       __

F2红果的基因型及比例是-__________  _____ 

(3)F1黄果植株自交后代表现型是_______  ____,基因型是__  ________

试题详情

52.下图为某家族遗传系谱图,基因用A  、a表示,据图分析回答问题:(12分)

(1)该遗传病是受      (填“常染色体”或“X染色体”)上的     基因控制的。

(2)图中I2的基因型是        ,Ⅱ4的基因型为        

(3)图中Ⅱ3的基因型为        ,Ⅱ3为纯合子的概率是     

试题详情


同步练习册答案