题目列表(包括答案和解析)

 0  206028  206036  206042  206046  206052  206054  206058  206064  206066  206072  206078  206082  206084  206088  206094  206096  206102  206106  206108  206112  206114  206118  206120  206122  206123  206124  206126  206127  206128  206130  206132  206136  206138  206142  206144  206148  206154  206156  206162  206166  206168  206172  206178  206184  206186  206192  206196  206198  206204  206208  206214  206222  447348 

1.下列关于病毒的叙述正确的是

A病毒是原核生物    B除病毒等少数生物外,生物体都需依赖新陈代谢

C病毒是真核生物    D除病毒等少数生物外,生物体都具有细胞结构

试题详情

40、香蕉原产热带地区,是我国南方重要的经济作物之一。广东省冬季常受强寒潮和霜冻影响,对香蕉生长发育影响很大。由香蕉束顶病毒(BBTV,单链环状DNA病毒)引起的香蕉束顶病,对香蕉生产的危害十分严重。当前香蕉栽培品种多为三倍体,由于无性繁殖是香蕉繁育的主要方式,缺少遗传变异性,因此利用基因工程等现代科技手段提高其种质水平,具有重要意义。

请根据上述材料,回答下列问题:

(1)脱毒香蕉苗的获得,可采用              的方法,此方法的依据是                     

(2)建立可靠的BBTV检测方法可以监控脱毒香蕉苗的质量,请问可用哪些方法检测病毒的存在?                        (列举两种方法)

(3)在某些深海鱼中发现的抗冻蛋白基因帅对提高农作物的抗寒能力有较好的应用价值,该基因可以从这些鱼的DNA中扩增得到。试述在提取和纯化DNA时影响提纯效果的因素及其依据。                         (列举两点)

(4)如何通过转基因技术获得抗寒能力提高的香蕉植株?在运用转基因香蕉的过程中,在生态安全方面可能会出现什么问题?(列举两点)

                                 。

试题详情

39、为了实现燃料供应来源多样化,发展长期替代化石燃料的产品如燃料酒精、生物柴油、沼气等已经列入我国未来10年的发展计划。广东省是我国甘蔗主产区之一。甘蔗是一种高光效的C;植物,单位面积产量很高,种植面积日益扩大,目前已成为南方地区燃料酒精生产的重要原料。利用甘蔗生产燃料

酒精的一般工艺流程为:甘蔗。榨汁(蔗糖)、酵母发酵一蒸馏。成品(燃料酒精)。

请根据上述材料,回答下列问题:

(1)具有耐高糖和耐酸特性的酵母菌是理想的酒精发酵菌种,对野生酵母菌进行突变后通过筛选可以得到具有这些特性的突变菌,诱变及筛选过程如下:

  步骤1:野生菌液体培养一段时间后接受紫外线照射诱变处理。

  步骤2;制备选择培养基。在基本培养基基础上,注意           ,加琼脂后灭菌,制成固体平板。 

  步骤3:将紫外照射后的菌液稀释涂布平板。

  步骤4:筛选出突变菌。

(2)上述步骤2、3和4的依据分别是                   

 (3)利用获得的突变菌和蔗汁进行酒精发酵实验,除了将培养基灭菌、保持空间洁净外,发酵过程中防止外来杂菌人侵还有哪些可行方法?           (列举两种)(4)甘蔗榨汁以后还有大量的蔗渣废弃物,主要成分为木质素、纤维素和半纤维素,但是酵母菌无法直接利用,原因是其                。请提出解决该问题的方法。                        。(列举两种方法)

试题详情

38、运用现代生物技术的育种方法,将抗菜青虫的Bt基因转移到优质油菜中,培育出转基因抗虫的油菜品种。这一品种在生长过程中能产生特异的杀虫蛋白,对菜青虫有显著抗性,能大大减轻菜青虫对油菜的危害,提高油菜产量,减少农药使用,保护农业生态环境。

(1)基因工程操作程序的主要步骤:①                  ,②              

           ,④              

(2)将目的基因导入受体细胞的方法有很多种,该题涉及的是             

(3)外源Bt基因在油菜细胞中成功表达,使油菜有了抗虫能力,这说明                        。Bt基因在油菜细胞中遗传信息的传递情况为                

四:选做题:在下面两题中任选一题解答,如果两题都做则只批阅第一小题

试题详情

37、紫草素是紫草细胞的代谢产物,可作为生产治疗烫伤药物的原料。用组织培养技术可以在生物反应器中通过培养紫草细胞生产紫草素。下图记录了生物反应器中紫草细胞产量、紫草素产量随培养时间发生的变化。

(1)在生产前,需先加入紫草细胞作为反应器中的“种子”。这些“种子”是应用组织培养技术,将紫草叶肉细胞经过           而获得的。这项技术的理论基础是        

(2)从图中可以看出:反应器中紫草细胞的数量呈现            型曲线;图中所示影响紫草素产量的因素是                

(3)在培养过程中,要不断通入无菌空气并进行搅拌的目的是             

试题详情

36、在啤酒生产过程中,发酵是重要环节。生产过程大致如下:将经过灭菌的麦芽汁充氧,接入啤酒酵母菌菌种后输入发酵罐。初期,酵母菌迅速繁殖,糖度下降,产生白色泡沫,溶解氧逐渐耗尽。随后,酵母菌繁殖速度迅速下降,糖度加速降低,酒精浓度逐渐上升,泡沫不断增多。当糖浓度下降一定程度后,结束发酵。最后分别输出有形物质和鲜啤酒。

根据上述过程,回答以下问题:

(1)该过程表明啤酒酵母菌异化作用的特点是       

(2)初期,酵母菌迅速繁殖的主要方式是      

(3)经测定酵母菌消耗的糖中,98.5%形成了酒精和其它发酵产物,其余1.5%则是用于______     ____。

(4)请写出由麦芽糖→葡萄糖→酒精的反应方程式:

                                    

(5)如果酵母菌消耗的糖(设为麦芽糖,其分子量为342)有98.5%(质量分数)形成了酒精(分子量为46.0)和其他发酵产物。设有500 t麦芽汁,其中麦芽糖的质量分数为 8.00%,发酵后最多能生产酒糟浓度为3.20%(质量分数)的啤酒多少吨?     

试题详情

35、乙醇等“绿沟能源”的开发备受世界关注。利用玉米秸秆生产燃料酒精的大致流程为:

  

(1)玉米秸秆经预处理后,应该选用         酶进行水解,使之转化为发酵所需的葡萄糖,

(2)从以下哪些微生物中可以提取上述酶?     (多选)

A.酶制果醋的醋酸菌     B.生长在腐木上的霉菌     C.制作酸奶的乳酸菌  

D.生产味精的谷氨酸棒状杆菌     E.反刍动物瘤胃中生存的某些微生物

(3)若从土壤中分离产生这种酶的微生物,所需要的培养基为        (按功能分),培养基中的碳原为          

(4)从生物体提取出的酶首先要检测         ,以便更好地将酶用于生产实践,在生产实践的过程中,为了使酶能够被反复利用,可采用          技术。

(5)发酵阶段需要的菌种是       ,在产生酒精时要控制的必要条件是       

试题详情

34、有人用酵母菌在含有葡萄糖的培养液中进行培养,测定单位时间内的吸氧量(气体体积)和二氧化碳的发生量(气体体积)。请回答下列有关问题:

(1)在酵母菌只进行有氧呼吸时,其吸氧量和二氧化碳的发生量是___   _______。

(2)与酵母菌相比,乳酸菌细胞结构的主要差别是______          _____。

(3)用酵母菌酿酒的开始阶段即充分供氧的情况下,酵母菌大量繁殖的方式是_______。

(4)密封发酵阶段,酵母菌的新陈代谢的方式是_____________。

(5)此时酵母菌若分解360克葡萄糖,则可生成__________摩尔的乙醇。

(6)当这一密闭的培养液中的乙醇达到一定量后,CO2不再增加的原因可能是_________。

试题详情

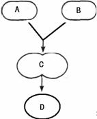
33、如图为细胞融合的简略过程,请据图回答:

(1)若A、B是植物细胞,在细胞融合之前需用      处理,以获得_____________;融合完成并成功产生杂交细胞的标志是         。

(2)若A、B是动物细胞,一般取自幼龄动物组织或胚胎,理由是______ ______;A.B到C的过程中常用的但不能用于植物细胞培养的手段是          。

 (3)若该过程是制备单克隆抗体,则应在小鼠身体注射相应的抗原,产生相应的免疫反应生成了A细胞,则A细胞为_______________ ,用来培养的D细胞应该是       。获得D后,常用的培养方法是         或注入小鼠腹腔中培养。

(4)如果该过程表示试管婴儿的培育过程且A是精子,则A需要经过___   __的过程,B则必需发育__________________时期才能与A融合。

试题详情

32、科学家将人的生长素基因与大肠杆菌的DNA分子进行重组,并成功地在大肠杆菌中得以表达。过程如图,据图回答:

(1)人的基因之所以能与大肠杆菌的DNA分子进行重组,原因是          

(2)过程①表示的是采取            的方法来获取目的基因。

(3)图中(3)过程用人工方法,使体外重组的DNA分子转移到受体细胞内。一般将受体大肠杆菌用           处理,以增大的通透性,使含有目的基因的重组质粒容易进入受体细胞。

(4)检测大肠杆菌B是否导入了质粒或重组质粒,可将大杆菌放在含     的培养基上,理由是                 。                        。 (5)如果把已经导入了普通质粒A或重组质粒的大肠杆菌,放在含有四环素的培养基上培养,发生的现象是       ,请解释原因                

试题详情


同步练习册答案