题目列表(包括答案和解析)

 0  208122  208130  208136  208140  208146  208148  208152  208158  208160  208166  208172  208176  208178  208182  208188  208190  208196  208200  208202  208206  208208  208212  208214  208216  208217  208218  208220  208221  208222  208224  208226  208230  208232  208236  208238  208242  208248  208250  208256  208260  208262  208266  208272  208278  208280  208286  208290  208292  208298  208302  208308  208316  447348 

3.下图是表示①②③④四个框图内所包括生物的共同特征的叙述,正确的是

A.框图①内都是原核生物,且都能发生突变   

B.框图②的生物都不含叶绿素,且都是分解者

C.框图③内的生物都具有细胞结构,且都有细胞壁

D.框图④内都是异养生物,且都能分裂生殖

试题详情

2.下列现象中由于糖蛋白减少而引起的是

A.该细胞易发生分散和转移         B.该细胞的功能发生稳定性差异

C.该细胞的代谢速率减慢         D.该细胞的形态结构发生显著变化

试题详情

1.下列化合物的组成中,由相同元素组成的是

A.纤维素、胰岛素、性激素        B.ADP、tRNA、质粒

C.脂肪、丙酮酸、核苷酸         D.抗体、酶、生长素

试题详情

31.请回答下列问题:

(1)右图为重要粮食作物玉米和小麦在正常空气、适宜温度、适宜湿度等条件下的净光合速率(即植物在单位时间内二氧化碳的吸收量)曲线。据此推断:

①如果其他条件不变,外界C02浓度适当增大(假设此变化不影响呼吸作用强度),则B点和D点分别向______________方向移动。

②在适宜条件下,如果给玉米和小麦叶片都“饲喂”14CO2,则首先测出具有放射性的化合物依次是________________化合物。

③如果玉米和小麦所处环境都为高温、干燥,这时光合作用强度变化更明显的是____________。

④如果A点时C02释放量为aµmo1/m2.s,C点时CO2吸收量为bµLmo1/m2.s,则C点时O2的产生量为________µmo1/m2.s

(2)血液是人体的一种重要组织,它具有多方面的重要作用,例如:

①血液中的吞噬细胞含有大量的溶酶体。溶酶体是细胞内具单层膜结构的细胞器,内含很多种水解酶,能分解衰老、损伤的细胞器(如:衰老的线粒体),吞噬并杀死侵入细胞的病毒或病菌。请据此推测,溶酶体膜和线粒体膜在组成上是否完全相同?为什么?

________。________________________________________________________________

②血液中的葡萄糖是重要的供能物质。葡萄糖进入成熟红细胞,为成熟红细胞提供能量的反应式为___________________________________ 。当血液中葡萄糖含量过低时(如低于45mg/dl),脑组织会因得不到足够的能量供给而发生功能障碍,此时急救措施是____________________

试题详情

30.请回答下列两个问题:

I.下图表示某种雌雄异株植物的雌性植株及繁殖后代的两种方式。据图回答:

(1)图中B→C表示从植物茎尖取材进行组织培养,与长期进行无性繁殖的植物相比,此繁殖方式的优越性是_________________________

(2) 如果结构⑥由16个细胞构成,此时④已经至少进行了______次有丝分裂。

(3) 图中①切除后,②会迅速发育成枝条,原因是______________          _

____________________________________________________________

(4) 如果A植株的基因型是AaBb,接受了Aabb植株的花粉,受精后⑨的基因型为aaBb,则⑥、⑦的基因型分别为______________________________

(5) 利用⑩获得纯合的二倍体植株的方法应当属于_______________生殖。

(6) 若用3H标记的水浇灌该植物(用于光合作用),则在其叶肉细胞的叶绿体中,最先出现含3H的有机化合物的作用是____________________

Ⅱ.回答下列实验问题:

1).为了验证胰岛素具有降低血糖浓度的作用。请根据以下提供的实验材料和用具,以小鼠是否出现活动减少、行动迟缓甚至昏迷等低血糖症状为观察指标,设计实验步骤、预测实验结果。

材料与用具:一组正常成年小鼠、适宜浓度的葡萄糖溶液、适宜浓度的胰岛素溶液、注射器等。(要求:答题时对该组小鼠不再分组;注射剂量不作要求。)

 (1)实验步骤:

①___________________________________________________________

②____________________________________________________________

____________________________________________________________

③____________________________________________________________

____________________________________________________________

 (2)预测实验结果:

①注射胰岛素溶液前,小鼠活动正常

②___________________________________________________________

③____________________________________________________________

(3)本实验方案遵循的对照原则属于_______________对照.

2).以下关于实验的描述中,正确的选项是______________________

① 脂肪的鉴定需用显微镜才能看到被染成橘黄色或者桔红色的脂肪滴;② 在稀释的蛋清液中加入双缩脲试剂,摇匀,可看到溶液变为砖红色;③ 洋葱根尖细胞有丝分裂装片制作的步骤是取材、解离、漂洗、染色、制片;④ 用于观察质壁分离与复原的紫色洋葱表皮细胞同样可用来观察植物细胞有丝分裂;⑤ 探索温度对淀粉酶活性影响的实验,不能用斐林试剂代替碘液。

试题详情

5. 下列有关酶和ATP的有关叙述,正确的是

A. ATP水解酶、DNA连接酶和限制性内切酶的作用对象依次是高能磷酸键、碱基间氢键和RNA中磷酸二酯键

B. 水解ATP中两个磷酸基团后所得的化合物可以参与RNA的合成;人在寒冷时,肾上腺素和甲状腺素分泌增多,细胞产生ATP的量增加

C. 细胞内储存有大量的ATP,以保证生命活动的能量需要;若细胞内Na+浓度偏高,为维持Na+浓度的稳定,细胞消耗ATP的量增加

D. 人长时间剧烈运动时,骨骼肌细胞中每摩尔葡萄糖生成ATP的量与安静时相等;人在饥饿初期时,细胞中ATP与ADP的含量难以达到动态平衡

试题详情

4.MstII是一种限制性内切酶,它总是在CCTGAGG的碱基序列中切断DNA。下图显示了用MstII处理后的正常β血红蛋白基因片断。镰刀型细胞贫血症的根本原因是β血红蛋白基因突变。下列有关叙述中,错误的是

A.在起初的正常β血红蛋白基因中有3个CCTGAGG序列

B.若β血红蛋白基因某一处CCTGAGG突变为CCTCCTG,则用MstII处理该基因后将产生 3个DNA片段

C. 将MstII酶用于的基因诊断,若产生四个DNA片段,则β血红蛋白基因是正常的

D. 将MstII酶用于镰刀型细胞贫血症的基因诊断,若产生三个DNA片段,则β血红蛋白基因是正常的

试题详情

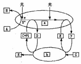
3.下图为光合作用图解,请根据图解判断,下列选项中错误的是

A.图中 a所在的结构是类囊体,是光反应的场所

B.有吸收转化光能的色素是少数特殊状态的叶绿素a

C. 图中b代表多种酶,只能在无光的条件下发生催化作用

D. 物质F是NADPH,其作用是供氢供能

试题详情

2. 在农业生产中,下列说法正确的是

A.不论天气如何,夜晚适当降温,就可以提高农作物产量

B.豆科植物能固氮,所以种植豆科植物的农田可以少施氮肥

C.航天育种技术可以提高作物的突变率,能定向获得对产量有突破性影响的罕见突变

D.小麦传粉期间若遇连绵阴雨,可用生长素类似物喷洒,以提高产量

试题详情

1.下列有关叙述,正确的是

A.兴奋在神经纤维上传导和在神经元间传递时,生物膜的变化相同

B.DNA聚合酶属于人体内环境的组成成分

C.B细胞和T细胞所含核基因相同,mRNA的种类不同

D.分泌蛋白合成越旺盛的细胞,高尔基体膜成分的更新速度越慢

试题详情


同步练习册答案